
微信扫一扫
关注公众号
产品分类
- 酶及底物 (521)
- 免疫学 (2841)
- 标准品/对照品 (131)
- 生物制药与疫苗 (384)
- 分离纯化 (37)
- 生化试剂 (28750)
- 分子生物学 (21)
- WAKO (13608)
- Jackson ImmunoResearch (2012)
- Ludger 糖链分析 (87)
- Lumiprobe活性染料 (3)
- abcam (39100)
- Merck-Sigma (44441)
- MP Bio (11006)
- 试剂 (9706)
- 健康原料 (24)
- 新型材料 (345)
- 仪器分析 (1025)
- 合作品牌 (45288)
- Aalto
- AAT Bioquest
- AbD
- Acros
- Active Motif
- Advanced Targeting Systems
- Ambion
- AnaSpec
- AssayDesign
- Avanti
- Bangs Laboratories
- BioPorto
- BioSource
- bioworld
- cayman
- Chemicon
- Clontech
- CST
- DiFco
- Epigentek
- hampton
- Himedia
- Hyclone
- ldmsapp
- Innova Biosciences
- Invent
- J.T.BAKER
- KALEN
- KPL
- lifespan
- MRC
- Phytotech
- Pierce
- Prozyme
- Qiagen
- R&D
- Roche
- Santa Cruz
- Serotec
- Vector
- Worthington
- 其他分类 (5)
服务保证
西宝风采
公司新闻
cAMP/Epac信号通路研究用试剂
发布时间:2026-02-10 09:18 | 点击次数:29
cAMP/Epac信号通路研究用试剂Biolog总部位于德国,专门从事信号转导研究的工具。已通过 ISO 9001认证,专注于核苷酸化学,特别强调基于环核苷酸的相应蛋白激酶、磷酸二酯酶和离子通道等的调节剂。
Epac,即cAMP直接活化交换蛋白(Exchange protein directly activated by cyclic AMP),是一种新型的 cAMP受体。
Epac在许多组织中表达,例如脑、血管、肾脏、肾上腺和胰腺。在大量研究中,Epac 被证实在多种生物功能和过程中发挥作用。近期研究表明 Epac还参与多种神经元功能的调节,但神经系统中依赖于 Epac 的 cAMP 信号的机制尚未完全了解。
Biolog可提供多款cAMP/Epac信号通路研究用试剂。
◆特异性 Epac激活剂
|
产品名称/结构式
|
产品编号
|
产品规格
|
用途
|
|
8-Br-2'-O-Me-cAMP
![]() |
B 022-05
|
5 µmol/~2.2 mg
|
特异性Epac激活剂
|
|
B 022-25
|
5×5 µmol
|
||
|
8-pCPT-2'-O-Me-cAMP
![]() |
C 041-05
|
5 µmol/~2.5 mg
|
高亲脂性、高膜渗透性的特异性Epac激活剂
|
|
C 041-25
|
5×5 µmol
|
||
|
8-pCPT-2'-O-Me-cAMP-AM
![]() |
C 051-01
|
1 µmol/~0.6 mg
|
高膜渗透性特异性Epac激活剂前体
|
|
C 051-05
|
5×1 µmol
|
||
|
Sp-8-pCPT-2'-O-Me-cAMPS
![]() |
C 052-01
|
5 µmol/~2.6 mg
|
抗水解性、高亲酯性、高膜渗透性的特异性
Epac激活剂
|
◆Epac阴性对照
|
产品名称/结构式
|
产品编号
|
产品规格
|
用途
|
|
6-Bnz-cAMP
![]() |
B 009-10
|
10 µmol/~4.6 mg
|
Epac阴性对照,只激活PKA而不激活Epac
|
|
B 009-50,
|
5×10 µmol
|
||
|
6-Bnz-cAMP-AM
![]() |
B 079-01
|
1 µmol/~0.5 mg
|
膜渗透性更佳的Epac阴性对照,
|
|
B 079-05
|
5×1 µmol
|
||
|
Sp-6-Bnz-cAMPS
![]() |
B 040-05
|
5 µmol/~2.4 mg
|
抗水解Epac阴性对照
|
|
B 040-25
|
5×5 µmol
|
||
|
8-pCPT-2'-O-Me-cGMP
![]() |
C 048-05
|
5 µmol/~2.6 mg
|
基于cGMP结构的Epac阴性对照
|
|
C 048-25
|
5×5 µmol
|
◆Epac配体
|
产品名称/结构式
|
产品编号
|
产品规格
|
用途
|
|
8-AHA-2'-O-Me-cAMP
![]() |
A099-05
|
5 µmol/~2.3 mg
|
用于染料或标志物标记的Epac前体
|
|
A099-25
|
5×5 µmol
|
◆Epac亲和凝胶
|
产品名称/结构式
|
产品编号
|
产品规格
|
用途
|
|
8-AHA-2'-O-Me-cAMP-Agarose
![]() |
A057-06
|
0.6 mL
|
封装了Epac激动剂的琼脂糖,适用于cAMP
相关蛋白的亲和层析。
|
|
A057-25
|
2.5 mL
|
||
|
A057-60
|
6 mL
|
◆荧光Epac激活剂
|
产品名称/结构式
|
产品编号
|
产品规格
|
用途
|
|
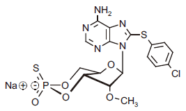
8-[DY-547]-AET-2'-O-Me-cAMP
![]() |
D089-001
|
0.1 µmol/~0.1 mg
|
荧光Epac激活剂。激发波长= 557 nm,
发射波长=574 nm。
|
|
D089-005
|
5×0.1 µmol
|
||
|
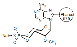
8-[Pharos-575]-2'-O-Me-cAMP
![]() |
P021-001
|
0.1 µmol/~74 µg
|
膜渗透性荧光Epac激活剂,特别适用于完整
细胞的研究。
激发波长= 577 nm,发射波长=605 nm。
|
|
P022-005
|
5×0.1 µmol
|
※ 本页面产品仅供研究用,研究以外不可使用。






























