
微信扫一扫
关注公众号
产品分类
- 酶及底物 (524)
- 免疫学 (2665)
- 标准品/对照品 (131)
- 生物制药与疫苗 (384)
- 分离纯化 (37)
- 生化试剂 (28758)
- 分子生物学 (21)
- WAKO (13617)
- Jackson ImmunoResearch (2012)
- Ludger 糖链分析 (87)
- Lumiprobe活性染料 (3)
- abcam (39111)
- Merck-Sigma (44529)
- MP Bio (11015)
- 试剂 (9728)
- 健康原料 (24)
- 新型材料 (345)
- 仪器分析 (1025)
- 合作品牌 (45348)
- Aalto
- AAT Bioquest
- AbD
- Acros
- Active Motif
- Advanced Targeting Systems
- Ambion
- AnaSpec
- AssayDesign
- Avanti
- Bangs Laboratories
- BioPorto
- BioSource
- bioworld
- cayman
- Chemicon
- Clontech
- CST
- DiFco
- Epigentek
- hampton
- Himedia
- Hyclone
- ldmsapp
- Innova Biosciences
- Invent
- J.T.BAKER
- KALEN
- KPL
- lifespan
- MRC
- Phytotech
- Pierce
- Prozyme
- Qiagen
- R&D
- Roche
- Santa Cruz
- Serotec
- Vector
- Worthington
- 其他分类 (5)
服务保证
西宝风采
公司新闻
FITC-葡聚糖:荧光示踪技术的革新者
发布时间:2025-12-03 09:44 | 点击次数:119
在生物医学、药理学、材料科学等前沿研究领域,荧光示踪技术是解析物质转运、屏障功能、细胞互作的核心手段。而FITC-葡聚糖(荧光素异硫氰酸酯标记葡聚糖)凭借其优异的荧光稳定性、生物相容性、分子量梯度丰富等核心优势,成为全球科研工作者的优选示踪剂。它以天然葡聚糖为骨架,通过化学修饰接入FITC荧光基团,既保留了葡聚糖的生物惰性,又兼具FITC的高荧光量子产率(Ex:490nm,Em:520nm),可精准追踪物质在细胞、组织、活体中的迁移路径与动态过程。
从基础的细胞通透性检测到复杂的体内屏障功能评估,从药物递送效率验证到病变组织微环境研究,FITC-葡聚糖通过不同分子量的精准适配,打破了传统示踪剂“单一规格难覆盖多场景”的局限。
FITC-葡聚糖产品性质
1.CAS号:60842-46-8
2.分子式:C21NO6SH13
3.分子量:2KDa ~20000KDa
4.外观:类黄色或橙黄色粉末颗粒
5.溶解性:25mg/mL(H2O);也可溶于DMSO等极性有机溶剂

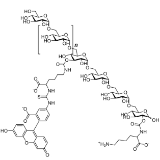
图.FITC-Dextran结构式示意图
FITC-葡聚糖的优势
1. 生物相容性好:葡聚糖骨架源于天然多糖,无免疫原性、细胞毒性低,在体内外实验中均不会干扰正常生理过程,可长期追踪且对样本损伤小;
2. 荧光性能稳定:FITC标记率均匀(通常每10-20个葡萄糖单元结合1个FITC分子),荧光信号强度高、光漂白抗性强,检测时抗干扰能力突出,数据重复性好;
3. 分子量梯度完整:覆盖2kDa~2000kDa全范围,从小分子渗透到超大分子屏障穿透实验均可适配,无需更换示踪体系;
4. 应用场景广泛:兼容细胞培养、组织切片、活体成像、流式细胞术、共聚焦显微镜等多种实验技术,适配基础科研与药物研发等不同需求。
不同分子量FITC-葡聚糖的特点与应用
FITC-葡聚糖的核心竞争力在于“分子量定制化”,不同分子量的分子大小、渗透能力、转运特性差异显著,可针对性解决不同场景的科研痛点。以下是各分子量产品的应用场景供参考:
|
分子量
|
核心特点
|
应用场景
|
|
2kDa
|
小分子级,渗透能力极强,可通过细胞间隙、微小孔隙,荧光标记率高
|
1.细胞间隙短距离物质传递研究;
2.毛细血管内皮细胞微小孔隙通透性检测;
3.纳米材料载体的细胞内吞效率验证;
4.小分子药物跨膜转运机制探索
|
|
4kDa
|
常规小分子规格,平衡渗透力与稳定性,是入门级实验的“多用途选择”
|
1.肠道黏膜、呼吸道上皮基础通透性检测;
2.血-淋巴屏障功能初步评估;
3.细胞单层(如Caco-2细胞)跨膜转运模型构建;
4.炎症状态下组织间隙通透性变化研究
|
|
10kDa
|
中低分子量主流款,渗透能力适中,可反映“生理性物质”转运特性
|
1.血-脑屏障初步通透性检测(评估屏障完整性);
2.巨噬细胞、上皮细胞内吞作用机制研究;
3.角膜、皮肤等黏膜组织的药物渗透效率验证;
4.肿瘤微环境中物质扩散规律探索
|
|
20kDa
|
中等偏低分子量,可通过正常组织间隙但难以穿透紧密连接
|
1.内皮细胞单层孔隙率定量分析;
2.肾小球滤过膜基础功能检测(区分正常与轻微损伤);
3.组织工程支架的物质传递效率评估;
4.细胞间连接(如紧密连接、缝隙连接)通透性研究
|
|
40kDa
|
中等分子量核心规格,渗透能力与血浆白蛋白接近,生理相关性强
|
1.血管完整性评估(如炎症、创伤后血管渗漏检测);
2.肠道、肾脏、肝脏等实质器官的通透功能研究;
3.体内短期代谢追踪(如药物载体在循环系统中的滞留时间);
4.糖尿病、高血压等疾病导致的屏障功能异常检测
|
|
70kDa
|
中等偏高分子量,仅能通过受损屏障或较大孔隙,选择性强
|
1.上皮细胞屏障(如肺泡上皮、视网膜色素上皮)的选择性通透研究;
2.组织间隙大分子物质扩散规律分析;
3.烧伤、感染后皮肤屏障修复过程监测;
4.纳米药物载体的组织穿透效率验证
|
|
150kDa
|
高分子量规格,仅能穿透严重受损或特殊结构的屏障
|
1.紧密连接完整的上皮组织(如小肠绒毛上皮)通透实验;
2.血-脑屏障、血-视网膜屏障的严格性检测;
3.肿瘤组织血管异常通透性评估;
4.细胞损伤后屏障功能恢复的动态追踪
|
|
500kDa
|
大分子量类型,难以通过正常生理屏障,适配极端场景
|
1.完整血管壁、实质器官包膜的通透性检测;
2.大分子转运障碍相关疾病(如肾病综合征)研究;
3.组织工程支架的孔径筛选(验证大分子滞留能力);
4.超大分子药物(如抗体药物)的递送效率评估
|
|
2000kDa
|
超大分子量规格,仅能在屏障严重破损或特殊微环境中扩散
|
1.正常组织与病变组织(如肿瘤、纤维化组织)的屏障差异对比;
2.体内异物(如植入材料)周围组织的通透性变化研究;
3.极端屏障功能(如血-睾屏障)的完整性检测;
4.超大分子载体(如纳米凝胶)的体内分布追踪
|
让科研更精准、更高效
从基础科研到临床前研发,从细胞层面到活体追踪,FITC-葡聚糖以其“多分子量适配、高生物相容性、稳定荧光性能”的核心优势,成为荧光示踪领域的“标杆产品”。西宝生物提供各类FITC-葡聚糖产品。如果需要进一步了解产品的详细参数、咨询服务热线:400-021-8158或021-50272975
相关产品
|
货号
|
名称
|
规格
|
|
DBX1507A
|
FITC-葡聚糖FITC-Dextran MW:2kDa
|
10mg、100mg、1g
|
|
DBX1508A
|
FITC-葡聚糖FITC-Dextran MW:4kDa
|
10mg、100mg、1g
|
|
DBX1509A
|
FITC-葡聚糖FITC-Dextran MW:10kDa
|
10mg、100mg、1g
|
|
DBX1510A
|
FITC-葡聚糖FITC-Dextran MW:20kDa
|
10mg、100mg、1g
|
|
DBX1511A
|
FITC-葡聚糖FITC-Dextran MW:40kDa
|
10mg、100mg、1g
|
|
DBX1512A
|
FITC-葡聚糖FITC-Dextran MW:70kDa
|
10mg、100mg、1g
|
|
DBX1513A
|
FITC-葡聚糖FITC-Dextran MW:150kDa
|
10mg、100mg、1g
|
|
DBX1514A
|
FITC-葡聚糖FITC-Dextran MW:500kDa
|
10mg、100mg、1g
|
|
DBX1515A
|
FITC-葡聚糖FITC-Dextran MW:2000kDa
|
10mg、100mg、1g
|


















