
微信扫一扫
关注公众号
产品分类
- 酶及底物 (524)
- 免疫学 (2665)
- 标准品/对照品 (131)
- 生物制药与疫苗 (384)
- 分离纯化 (37)
- 生化试剂 (28758)
- 分子生物学 (21)
- WAKO (13617)
- Jackson ImmunoResearch (2012)
- Ludger 糖链分析 (87)
- Lumiprobe活性染料 (3)
- abcam (39111)
- Merck-Sigma (44529)
- MP Bio (11015)
- 试剂 (9728)
- 健康原料 (24)
- 新型材料 (345)
- 仪器分析 (1025)
- 合作品牌 (45348)
- Aalto
- AAT Bioquest
- AbD
- Acros
- Active Motif
- Advanced Targeting Systems
- Ambion
- AnaSpec
- AssayDesign
- Avanti
- Bangs Laboratories
- BioPorto
- BioSource
- bioworld
- cayman
- Chemicon
- Clontech
- CST
- DiFco
- Epigentek
- hampton
- Himedia
- Hyclone
- ldmsapp
- Innova Biosciences
- Invent
- J.T.BAKER
- KALEN
- KPL
- lifespan
- MRC
- Phytotech
- Pierce
- Prozyme
- Qiagen
- R&D
- Roche
- Santa Cruz
- Serotec
- Vector
- Worthington
- 其他分类 (5)
服务保证
西宝风采
公司新闻
火炎焱燚“活”性剂 - 甜菜碱型两性离子表面活性剂
发布时间:2024-12-10 14:07 | 点击次数:395
两性离子表面活性剂,指的是在单个分子中通过桥链(例如碳氢链、碳氟链等)连接的一个或多个正负电荷或偶极中心的表面活性剂。这类表面活性剂同时具备阴离子和阳离子亲水基团。其主要特性是既能提供质子也能吸收质子。
通常,两性离子表面活性剂具有良好的清洁、分散、乳化、杀菌、纤维软化以及抗静电特性。具体表现在,在碱性水溶液中呈阴离子表面活性剂的性质,具有很好的起泡、去污作用;在酸性溶液中则呈阳离子表面活性剂的性质,具有很强的杀菌能力。由于两性离子表面活性剂的上述特性,在日用化工、纺织工业、染料、颜料、食品、制药、机械、冶金、洗涤等领域得到广泛应用。
现在常用的人工合成两性离子表面活性剂,其阴离子部分大多是羧酸基,也有少数是磺酸基;其阳离子部分大多是胺盐或季胺盐。由胺盐构成阳离子部分的叫氨基酸型;由季胺盐构成阳离子部分的叫甜菜碱型。
氨基酸型:R-NH+CH2CH2COO-
甜菜碱型:R-N+2-(CH3)2COO-
甜菜碱型两性离子表面活性剂
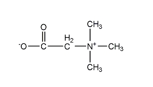
甜菜碱是由Sheihler于1869年从甜菜中提取出来的一种天然含氮化合物,其化学名称为三甲基乙酸铵。

三甲基乙酸铵
1876年,Briihl提议将“甜菜碱”这一名称应用于所有类似结构的化合物。时至今日,该术语的范围已扩大至包含含硫和含磷的类似物质。由于分子内部缺乏足够长度的疏水基团,天然甜菜碱并不具备表面活性。然而,当分子结构中的一个-CH3基团被C8至C20的长链烷基所替代时,甜菜碱便展现出了表面活性。这类具备表面活性的甜菜碱被统称为甜菜碱型两性离子表面活性剂。其中,最基础的甜菜碱衍生物仅含有一个长链烷基(R = C8至C18),被命名为烷基甜菜碱。
烷基甜菜碱的代表
3-磺丙基十四烷基二甲甜菜碱(STDAB),是一种两性离子表面活性剂,可用于各种静电离子色谱技术。去垢剂,溶解膜蛋白,而又不使蛋白变性。也被用于研究构建消除水溶性有机染料的吸附剂的方法。

3-磺丙基十四烷基二甲甜菜碱(STDAB)结构
|
品牌
|
货号
|
产品名称
|
CAS号
|
规格
|
|
Seebio
|
ACH0115A
|
3-磺丙基十四烷基二甲甜菜碱(STDAB)
|
14933-09-6
|
25g,100g
|
3-磺丙基十六烷基二甲甜菜碱(SHDAB),是一种两性离子洗涤剂。SHDAB可用于提取蛋白质,以通过色谱、质谱和电泳方法进行分析。

3-磺丙基十六烷基二甲甜菜碱(SHDAB)结构
|
品牌
|
货号
|
产品名称
|
CAS号
|
规格
|
|
Seebio
|
ACH0033A
|
3-磺丙基十六烷基二甲甜菜碱(SHDAB)
|
2281-11-0
|
25g,100g
|
3-磺丙基十二烷基二甲甜菜碱(SDDAB),是一种两性离子表面活性剂。用于蛋白质溶解的两性离子去污剂。已用于评估离子型和两性离子表面活性剂混合系统中蛋白质结构变化的研究。它还被用于研究离子液体和两性离子表面活性剂之间的相互作用。

3-磺丙基十二烷基二甲甜菜碱(SDDAB)结构
|
品牌
|
货号
|
产品名称
|
CAS号
|
规格
|
|
Seebio
|
ACH0032A
|
3-磺丙基十二烷基二甲甜菜碱(SDDAB)
|
14933-08-5
|
25g,100g
|
十二烷基二甲基甜菜碱(BS-12),是一种两性离子表面活性剂,在酸性介质中呈阳离子性,在碱性介质中呈阴离子性。本品有优良的发泡性能,能使毛发柔软,适用于制造无刺激的、对头发有调理性的香波,洗后不干涩。耐硬水性能好,用于制造耐硬水洗涤剂,还可用作杀菌剂,杀灭包括结核菌在内的多种细菌。用作纤维柔软剂、金属表面加工助剂、抗静电剂,具高泡性和好的稳泡性。

十二烷基二甲基甜菜碱(BS-12)结构
|
品牌
|
货号
|
产品名称
|
CAS号
|
规格
|
|
Seebio
|
ACH0052A
|
十二烷基二甲基甜菜碱(BS-12)
|
683-10-3
|
250g,1Kg,25Kg
|


















