
微信扫一扫
关注公众号
产品分类
- 酶及底物 (520)
- 免疫学 (2757)
- 标准品/对照品 (131)
- 生物制药与疫苗 (384)
- 分离纯化 (37)
- 生化试剂 (28750)
- 分子生物学 (21)
- WAKO (13608)
- Jackson ImmunoResearch (2012)
- Ludger 糖链分析 (87)
- Lumiprobe活性染料 (3)
- abcam (39100)
- Merck-Sigma (44441)
- MP Bio (11006)
- 试剂 (9706)
- 健康原料 (24)
- 新型材料 (345)
- 仪器分析 (1025)
- 合作品牌 (45288)
- Aalto
- AAT Bioquest
- AbD
- Acros
- Active Motif
- Advanced Targeting Systems
- Ambion
- AnaSpec
- AssayDesign
- Avanti
- Bangs Laboratories
- BioPorto
- BioSource
- bioworld
- cayman
- Chemicon
- Clontech
- CST
- DiFco
- Epigentek
- hampton
- Himedia
- Hyclone
- ldmsapp
- Innova Biosciences
- Invent
- J.T.BAKER
- KALEN
- KPL
- lifespan
- MRC
- Phytotech
- Pierce
- Prozyme
- Qiagen
- R&D
- Roche
- Santa Cruz
- Serotec
- Vector
- Worthington
- 其他分类 (5)
服务保证
西宝风采
公司新闻
NAD辅酶系列在IVD中的应用
发布时间:2024-09-24 13:42 | 点击次数:1778
在生化诊断中,NAD-NADH和NADP-NADPH显色系统是其重要的一部分。西宝生物提供诊断级烟酰胺辅酶系列产品,包括NAD、NADH、NADP和NADPH等,可用于ALT、AST、CK、LDH、CK-MB、α-HBDH、Glu、UREA、NH4+、CO2等检测试剂盒的生产
利用NAD/NADH和NADP/NADPH在340 nm 吸光值的差异,是许多酶活力水平检测的常见方法。以乳酸发酵为例:

西宝生物提供诊断级烟酰胺辅酶系列产品,包括NAD, NADH, NADP 和 NADPH 等。订购热线:400-021-8158!
烟酰胺辅酶为脱氢酶的辅酶,可分为氧化型和还原型。
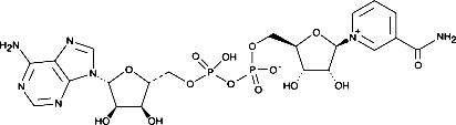
1 NAD(氧化型辅酶I)
NAD,β-烟酰胺腺嘌呤二核苷酸(氧化型辅酶I),在生物制药领域有着重要的作用。NAD作为一种关键的电子传递体,它是体内众多脱氢酶的辅酶,充当着连接三羧酸循环与呼吸链的桥梁。NAD能够有效地捕获代谢过程中脱下的氢原子,将其传递至黄素蛋白,从而推动能量转换与生物化学反应。

基本情况
化学名称:β-烟酰胺腺嘌呤二核苷酸(氧化型辅酶 I)
英文名称:β-Nicotinamide adenine dinucleotide, oxidized form
CAS 号:53-84-9
分子式:C21H27N7O14P2
分子量:663.43
英文名称:β-Nicotinamide adenine dinucleotide, oxidized form
CAS 号:53-84-9
分子式:C21H27N7O14P2
分子量:663.43
应用举例
|
类别
|
检测试剂盒
|
试剂成分
|
|
糖类
|
葡萄糖(已糖激酶法)检测试剂盒
|
R1:三磷酸腺苷(ATP)4mmol/L、烟酰胺腺嘌呤二核苷酸(NAD)3.21mmol/L、叠氮钠0.05%、缓冲液
|
|
R2:三磷酸腺苷(ATP)4mmol/L、烟酰胺腺嘌呤二核苷酸(NAD) 3.21mmol/L、己糖激酶(微生物源)>6.25U/ml、葡萄糖 -6- 磷酸脱氢酶(G6PD)(微生物源)>11.25U/ml、叠氮钠 0.05%、缓冲液
|
||
|
其他血液分析
|
乳酸脱氢酶(LDH)检测试剂盒(速率法)
|
R1:AMP 缓冲液(pH8.95±0.30)、乳酸
|
|
R2:NAD+
|
||
|
乳酸脱氢酶检测试剂盒(LDH)(L-P法)
|
R1:Tris-HCI缓冲液100mmol/L、L-乳酸锂80mmol/L、叠氮钠0.1%
|
|
|
R2:Tris-HCI缓冲液100mmol/L、NAD+ 40mmol/L、叠氮钠0.1%
|
2 NADH(还原型辅酶I)
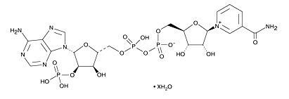
NADH,β-烟酰胺腺嘌呤二核苷酸(还原型辅酶I),它在维持细胞生长、分化、能量代谢和细胞保护方面发挥着重要作用:既是物质与能量代谢的参与者,又作为生物氢的载体和电子的供给者。NADH源自糖酵解途径以及细胞呼吸中的柠檬酸循环。NADH在线粒体内膜上,通过氧化磷酸化途径传导能量,促进ATP(腺苷三磷酸)的生成,因而也享有“线粒体素”的称号。NADH遍布于所有动植物细胞的线粒体中。

基本情况
化学名称:β-烟酰胺腺嘌呤二核苷酸二钠盐(还原型辅酶I)
英文名称:β-Nicotinamide adenine dinucleotide disodium salt, reduced form
CAS 号:606-68-8
分子式:C21H27N7Na2O14P2
分子量:709.4
英文名称:β-Nicotinamide adenine dinucleotide disodium salt, reduced form
CAS 号:606-68-8
分子式:C21H27N7Na2O14P2
分子量:709.4
应用举例
| 类别 |
检测试剂盒
|
试剂成分
|
|
肝功能
|
谷丙转氨酶检测试剂盒(IFCC法)
|
R1:TRIS缓冲液224mmol/L(pH7.3,37℃)、L-丙氨酸 1120mmol/L、白蛋白(牛)0.25%、乳酸脱氢酶(微生物)≥45μkat/L、稳定剂、防腐剂
|
|
R2/SR:2-酮戊二酸94mmol/L、NADH≥1.7mmol/L、添加剂、防腐剂
|
||
|
谷草转氨酶/天冬氨酸氨基转氨酶(GOT/AST)试剂盒(IFCC推荐法)
|
||
|
血氨(AMM)测定试剂盒(谷氨酸脱氢酶法)
|
R1a:Tris-HCI缓冲液(PH7.4) 100mmol/L、乳酸脱氢酶2KU/L、EDTA 5.3mmol/L
|
|
|
R1b:α-酮戊二酸15mol/L、NADH 0.3mmol/L
|
||
|
R2:谷氨酸脱氢酶160U/L
|
||
|
谷氨酸脱氢酶(GDH/GLDH)试剂盒(连续监测法)
|
R1:三羟甲基氨基甲火完缓冲液100mmol/L、α-酮戊二酸10mmol/L等
|
|
|
R2:氨100mmol/L、NADH 0.5mmol/L等
|
||
|
肾功能
|
尿素、尿素氮(BUN)测定试剂盒(脲酶UV法)
|
R1:Tris缓冲液(PH=8.00)、脲酶、谷氨酸脱氢酶(GLDH)、α-酮戊二酸
|
|
R2:NADH
|
||
|
血脂与脂蛋白
|
同型半胱氨酸(HCY)测定试剂盒(酶法)
|
R1:磷酸盐缓冲液(PH 7.7)、乳酸脱氢酶、胱硫醚β-合成酶、胱硫醚β-分解酶、硫柳汞
|
|
R2:磷酸盐缓冲液(PH 7.7)、丝氨酸、NADH、曲拉通-100、硫柳汞
|
||
|
心肌酶类
|
α-羟丁酉夋脱氢酶(HBDH)(速率法)
|
R1:磷酸盐缓冲液、ɑ-酮丁酉夋钠
|
|
R2:NADH
|
||
|
肿瘤类
|
唾液酸测定试剂盒(神经氨酸苷酶法)
|
R1:缓冲液神经氨酸苷酶、乳酸脱氢酶
|
|
R2:缓冲液NADH、N-乙酰神经氨酸醛羧酶
|
3 NADP(氧化型辅酶II)
NADP,β-烟酰胺腺嘌呤二核苷酸磷酸(氧化型辅酶II)。作为生物界中广泛存在的一种辅酶,NADP通过将烟酸酰胺腺嘌呤二核苷酸与磷酸分子经由酯键连接而成。其化学特性、氧化还原形式以及吸收光谱等方面均与NAD高度相似。

基本情况
化学名称:β-烟酰胺腺嘌呤二核苷酸磷酸(一钠盐/二钠盐)(氧化型辅酶II)
英文名称:β-Nicotinamide Adenine Dinucleotide Phosphate
CAS 号:53-59-8 / 1184-16-3(一钠盐) / 24292-60-2(二钠盐)
分子式:C21H28N7O17P3
分子量:743.41
英文名称:β-Nicotinamide Adenine Dinucleotide Phosphate
CAS 号:53-59-8 / 1184-16-3(一钠盐) / 24292-60-2(二钠盐)
分子式:C21H28N7O17P3
分子量:743.41
应用举例
|
类别
|
检测试剂盒
|
试剂成分
|
|
心肌酶类
|
肌酸激酶(CK)测定试剂(盒)(速率法)
|
R1:叠氮钠 0.02%
|
|
R2:二磷酸腺苷(ADP)2.0 mmol/L、一磷酸腺苷(AMP)5.0 mmol/L、二腺苷五磷酸10 μmol/L、还原型辅酶Ⅰ(NADP)2.0 mmol/L、己糖激酶(HK)≥ 2.5 U/mL、葡萄糖-6-磷酸脱氢酶(G6PD)≥ 1.5 U/mL、N-乙酰-L- 半胱氨酸20 mmol/L、肌酸磷酸30 mmol/L
|
||
|
肌酸激酶同工酶(CK-MB)测定试剂盒(速率法)
|
R1+R2:咪唑缓冲液、磷酸肌酸、葡萄糖、N-乙酰半胱氨酸(NAC)、乙酸镁、EDTA-Na2、ADP、NADP、AMP、5'-磷酸二腺苷、6-磷酸葡萄糖脱氢酶(G6P-DH)、己糖激酶(HK)、羊抗人CK-M多克隆抗体
|
|
|
其他血液分析
|
葡萄糖-6-磷酸脱氢酶(G6PD)检测试剂盒(简易比色法)
|
样本稀释液、G6PD Assay buffer、NADP、G-6-P、G-6-P稀释液
|
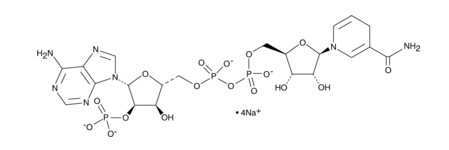
4 NADPH(还原型辅酶II)
NADPH,β-烟酰胺腺嘌呤二核苷酸磷酸(氧化型辅酶II),也被称为还原型辅酶II-4钠盐。它作为一种重要的还原剂,在生物体内扮演着氢负离子供体的角色。NADPH作为供氢体参与体内多种代谢反应。

基本情况
化学名称:β-烟酰胺腺嘌呤二核苷酸磷酸四钠盐(氧化型辅酶II)
英文名称:β-nicotinamide adenine dinucleotide phosphate, reduced form, (Reduced Coenzyme-II) tetrasodium salt
CAS 号:2646-71-1
分子式:C21H26N7Na4O17P3
分子量:833.35
英文名称:β-nicotinamide adenine dinucleotide phosphate, reduced form, (Reduced Coenzyme-II) tetrasodium salt
CAS 号:2646-71-1
分子式:C21H26N7Na4O17P3
分子量:833.35
应用举例
|
类别
|
检测试剂盒
|
检测原理
|
|
其他血液分析
|
谷胱甘肽还原酶(GR)测定试剂盒(紫外比色法)
|
氧化型谷胱甘肽(GSSG)在谷胱甘肽还原酶 GR 的催化下,由 NADPH 供氢,使 GSSG还原生成还原型谷胱甘肽(GSH)后,GSH 增加,NADPH 减少。在 340nm 处可检测到 NADPH的吸光度值的下降。通过检测 NADPH 的改变,可以计算出 GR 的活力。
|
|
谷胱甘肽过氧化氢酶(GSH-Px)试剂盒
|
GSH-Px催化有机过氧化物氧化GSH,产生GSSG;谷胱甘肽还原酶(GR)催化NADPH还原GSSG,再生GSH,同时NADPH氧化生成NADP+;NADPH在340 nm有特征吸收峰,而NADP+没有;通过测定340 nm光吸收减少速率来计算GSH-Px活性。
|
5Thio-NAD (S-NAD)
Thio-NAD,硫代氧化型烟酸胺腺嘌呤二核苷(硫代氧化型辅酶I),是NAD的一种硫代衍生物,在生物体内扮演了不可或缺的关键角色。Thio-NAD可用于总胆汁酸检测试剂的配制。

基本情况
化学名称:硫代氧化型辅酶Ⅰ
英文名称:Thio-Nicotinamide Adenine Dinucleotide
CAS 号:4090-29-3
Molecular Formula:C21H27N7O13P2S
Formula Weight:679.5
英文名称:Thio-Nicotinamide Adenine Dinucleotide
CAS 号:4090-29-3
Molecular Formula:C21H27N7O13P2S
Formula Weight:679.5
应用举例
|
类别
|
检测试剂盒
|
检测原理
|
|
肝功能
|
总胆汁酸(TBA)测定试剂盒(循环酶法)
|
R1:磷酸盐缓冲液pH 7.5、β-硫代烟酰胺腺嘌呤二核苷酸氧化型、叠氮钠
|
|
R2:磷酸盐缓冲液pH 7.5、β-硫代烟酰胺腺嘌呤二核苷酸还原型、3ɑ-羟甾醇脱氢酶、吐温-20、叠氮钠
|
作用原理

以NAD为例,如图所示,在脱氢酶的作用下,催化脱氢传递给给β-NAD+,使之形成还原型β-NADH。NADH在340nm有特征性吸收峰,而NAD在340nm无特征性吸收峰,利用其偶联的脱氢酶(工具酶)反应,根据340nm吸光度的变化,可以测定物质的浓度或活性。同理,NADPH和NADP也是如此。
产品列表
|
中/英文品名
|
用途
|
CAS号
|
包装规格
|
|
氧化型辅酶I / β-NAD
|
诊断分析
|
53-84-9
|
5g、25g、100g
|
|
生物催化
|
1kg、5kg
|
||
|
还原型辅酶I / β-NADH二钠
|
诊断分析
|
606-68-8
|
5g、25g、100g
|
|
氧化型辅酶II / β-NADP
|
诊断分析
|
53-59-8
|
5g、25g、100g
|
|
生物催化
|
1kg、5kg
|
||
|
氧化型辅酶II一钠盐 / β-NADP-Na
|
诊断分析
|
1184-16-3
|
5g、25g、100g
|
|
生物催化
|
1kg、5kg
|
||
|
氧化型辅酶II二钠盐 / β-NADP-2Na
|
生物催化
|
24292-60-2
|
5g、25g、100g
|
|
还原型辅酶II四钠 / β-NADPH-4Na
|
诊断分析
|
2646-71-1
|
5g、25g、100g
|
|
硫代氧化型辅酶I / Thio-NAD
|
诊断分析
|
4090-29-3
|
5g、25g、100g
|


















