
微信扫一扫
关注公众号
抗坏血酸氧化酶(AOX)
¥429 - 1559
产品分类
- 酶及底物 (502)
- 免疫学 (3039)
- 标准品/对照品 (528)
- 生物制药与疫苗 (603)
- 分离纯化 (37)
- 生化试剂 (28197)
- 分子生物学 (21)
- WAKO (13228)
- Jackson ImmunoResearch (2012)
- Ludger 糖链分析 (86)
- Lumiprobe活性染料 (3)
- abcam (39004)
- Merck-Sigma (43240)
- MP Bio (10701)
- 试剂 (9464)
- 健康原料 (24)
- 新型材料 (344)
- 仪器分析 (1023)
- 合作品牌 (44303)
- Aalto
- AAT Bioquest
- AbD
- Active Motif
- Advanced Targeting Systems
- Ambion
- AnaSpec
- AssayDesign
- Avanti
- Bangs Laboratories
- BioPorto
- BioSource
- bioworld
- cayman
- Chemicon
- Clontech
- CST
- DiFco
- Epigentek
- hampton
- Himedia
- Hyclone
- ldmsapp
- Innova Biosciences
- Invent
- J.T.BAKER
- KPL
- lifespan
- MRC
- Phytotech
- Pierce
- Prozyme
- Qiagen
- R&D
- Roche
- Santa Cruz
- Vector
- Worthington
- 其他分类 (9)
服务保证
西宝风采
公司新闻
"黑色素"杀手-抗坏血酸葡糖苷(AA2G)
发布时间:2024-08-06 08:44 | 点击次数:1036
抗坏血酸
维生素C具有防治坏血酸的作用,因此又叫抗坏血酸,是一种水溶性的维生素。天然维生素C多存在于新鲜的水果(苹果、橙子和猕猴桃等)和蔬菜(西红柿、黄瓜和白菜等)中。由于人体内缺乏维生素C生物合成最后一步反应的关键酶,即L-古洛糖酸-1,4-内酯氧化酶(GLO),因而必须从食物中摄取维生素C。
但其实维生素C被运用在护肤品中,是不单单以其原形态添加其中的,护肤品中常用的成分有很多是属于维生素C的衍生物。
抗坏血酸衍生物分类
l 抗坏血酸:这是维生素C的最常见形式,也是最活跃的形式。
l 抗坏血酸葡糖苷:和维生素C一样有美白的效果;且在不同酸碱性溶液里都有活性,因此可以随意搭配其他的成分。
l 抗坏血酸钠:这是抗坏血酸和钠离子的盐,具有相似的效果,但容易溶解于水。
l 抗坏血酸镁:这是抗坏血酸和镁离子的盐,也容易溶解于水。
l 抗坏血酸钙:这是抗坏血酸和钙离子的盐,对于那些对钠过敏的人很有用。
l 抗坏血酸多肽:在吸收后可以分解为VC和多肽,且比VC本身更加稳定,市面上已有的产品添加量都很低,只是作为辅助活性成分。
抗坏血酸葡糖苷
抗坏血酸葡糖苷(INCI名称:ASCORBYL GLUCOSIDE),俗名维生素C糖苷,简称AA2G,是一款稳定的维生素C衍生物。AA2G保持了维生素C抗氧化的生理特性而且在水和油中均具有相当的溶解度,同时具有很强的耐光性和耐热性还原性和抗氧化性,有效抵抗衰老。并且能够直接排出表皮层中已经形成的黑色素,达到强效快速的美白效果。韩国化妆品中该原料规定的有效用量(质量分数)为2%。中国台湾地区化妆品中规定该原料的的限量或使用范围(质量分数)同样为2%。
【产品货号】ACF0053B
【产品名称】抗坏血酸葡糖苷,AA2G
【CAS号】129499-78-1
【EC号】 425-980-0
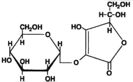
【分子式】C12H18O11
【化学式】
【含量】≥98%
【产品外观】白色晶体粉末
【包装规格】1KG, 5KG, 10KG, 25KG
化妆品领域应用
·提亮肤色、抑制黑色素形成
·抵御UV损伤,抑制紫外线照射对细胞的损伤
·抗衰老,促进胶原蛋白合成,改善皱纹和皮肤粗糙

图片来源于网络
抗坏血酸葡糖苷市场前景
抗坏血酸葡糖苷由资生堂与林原株式会社为美白化妆品研制,克服了维生素C易被氧化的缺点,在多种条件下稳定,保留维生素C活性,具有美白和调节胶原蛋白合成效果,常用于高级化妆品。此外,它还在食品、医药领域有应用,如食品添加剂、减少血栓和炎症并发症等。
西宝生物作为化妆品、医美核心原料供应商,运用自主创新合成生物学技术,为相关生产企业提供质量稳定的优质原料,从源头把控品质安全。西宝生物新推出自研产品--抗坏血酸葡糖苷,并已于近期按照《化妆品注册备案管理办法》完成了原料报送登记,报送码为:004104-10079-6191。


















