
微信扫一扫
关注公众号
产品分类
- 酶及底物 (524)
- 免疫学 (2688)
- 标准品/对照品 (131)
- 生物制药与疫苗 (384)
- 分离纯化 (37)
- 生化试剂 (28758)
- 分子生物学 (21)
- WAKO (13617)
- Jackson ImmunoResearch (2012)
- Ludger 糖链分析 (87)
- Lumiprobe活性染料 (3)
- abcam (39111)
- Merck-Sigma (44529)
- MP Bio (11015)
- 试剂 (9728)
- 健康原料 (24)
- 新型材料 (345)
- 仪器分析 (1025)
- 合作品牌 (45348)
- Aalto
- AAT Bioquest
- AbD
- Acros
- Active Motif
- Advanced Targeting Systems
- Ambion
- AnaSpec
- AssayDesign
- Avanti
- Bangs Laboratories
- BioPorto
- BioSource
- bioworld
- cayman
- Chemicon
- Clontech
- CST
- DiFco
- Epigentek
- hampton
- Himedia
- Hyclone
- ldmsapp
- Innova Biosciences
- Invent
- J.T.BAKER
- KALEN
- KPL
- lifespan
- MRC
- Phytotech
- Pierce
- Prozyme
- Qiagen
- R&D
- Roche
- Santa Cruz
- Serotec
- Vector
- Worthington
- 其他分类 (5)
服务保证
西宝风采
公司新闻
谷胱甘肽功效及应用场景
发布时间:2024-06-21 09:23 | 点击次数:2080
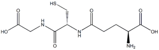
谷胱甘肽(Glutathione, CAS 70-18-8)是一种由三种氨基酸组成的天然三肽,通常简称为GSH。它在生物体内扮演着至关重要的角色,包括抗氧化、解毒、免疫增强以及对细胞内多种生化反应的调节。谷胱甘肽在人体内的肝脏中合成,并在血浆、细胞内液等多种生物液体中发挥作用,对于维护身体健康和美容养颜具有重要作用。


谷胱甘肽
谷胱甘肽性质
英文名:Glutathione
CAS号:70-18-8
分子式:C10H17N3O6S
含量:≥98%
形态:粉末
颜色:白色
储存温度:2-8°C
应用领域:保健食品、化妆品,医药等
|
产品
|
CAS
|
级别
|
包装
|
|
谷胱甘肽
|
70-18-8
|
食品级
|
1Kg; 25Kg
|
|
谷胱甘肽
|
70-18-8
|
医药级
|
1Kg; 25Kg
|
|
谷胱甘肽
|
70-18-8
|
化妆品级
|
1Kg; 25Kg
|
谷胱甘肽功效
包括抗氧化、解毒、美白、淡斑、延缓衰老、增强免疫力等。
抗氧化和解毒
谷胱甘肽具有抗氧化和解毒的作用,可以帮助清除细胞中的毒素和自由基,减少活性氧的数量,避免氧化应激导致的分子和DNA损伤。
美白和淡斑
谷胱甘肽能够阻断酪氨酸酶的活性,从根源上达到美白功效。它还对受损细胞有修复功效,改善皮肤的细腻度和平整度。
抗衰老
谷胱甘肽可以起到延缓衰老的作用,它能够对抗与年龄相关的氧化应激和炎症,这些氧化应激和炎症会导致我们对感染的易感性和脆弱性。
增强免疫力
谷胱甘肽对于维持免疫系统所需的淋巴细胞表现最佳,也是淋巴细胞复制所必需的。因此,谷胱甘肽具有增强免疫力的功效。
抗肿瘤作用
谷胱甘肽还具有一定的抗肿瘤作用,它可以调节NF-kB活性,而NF-kB负责促炎基因的表达。
抗炎作用
谷胱甘肽的抗炎作用体现在它对肠道健康的影响,它可以调节免疫反应,减少炎症的发生2。
肠道健康
谷胱甘肽对肠道有益,它的抗炎能力的一个作用是它对肠道健康的影响。肠道中谷胱甘肽活性不足可引发急性和慢性炎症。
心血管健康
谷胱甘肽可以通过减少氧化应激和促进正常的心血管功能来帮助保护心脏。在动物实验中,谷胱甘肽缺乏导致血管和心脏功能和结构异常。
食品应用
- 功能性食品中添加谷胱甘肽,不仅能有效中和自由基,减少其对细胞的损伤,还有助于降低患癌风险,并促进过氧化脂质的快速分解,清除体内有害物质。
- 谷胱甘肽配方在治疗代谢障碍方面显示出积极效果,其促进新陈代谢和增强抗氧化能力的特性,对维护身体健康至关重要。
- 谷胱甘肽作为一种高效的抗氧化剂,广泛应用于延长食品的保质期并提升其感官品质,例如在大米面糊中通过改善其物理特性,分解谷蛋白聚合物,从而增强其气体保留能力。
- 谷胱甘肽在食用香精生产中的应用,能够显著增强食品风味的形成,提升食品的整体口感。
- 谷胱甘肽在抗酒精食品中的使用,利用其排毒功效,有助于保护肝脏健康,减轻酒精对肝脏的损害。
- 在酸奶和婴儿食品中添加谷胱甘肽,可以像维生素C一样发挥稳定剂的作用。
- 膳食中谷胱甘肽的摄入对提升免疫功能具有潜在的益处,有助于增强身体对疾病的抵抗力。
化妆品应用
- 在亚洲市场上,谷胱甘肽作为一种流行的皮肤美白成分,已被广泛应用于各类美白产品中,有效改善肤色、减少皱纹、增强皮肤弹性,并减轻紫外线引起的色素沉着。
- 谷胱甘肽在化妆品行业中扮演着美白剂的角色,通过抑制酪氨酸酶的活性,减少黑色素的生成,从而达到美白肌肤的效果。
- 谷胱甘肽有助于改善更年期或绝经后女性的皮肤老化问题,S棕榈酰谷胱甘肽作为一种在皮肤病学上被广泛接受的载体,能够提升皮肤的整体外观。
- 谷胱甘肽脂质体能够有效抵御紫外线和自由基的伤害,通过局部应用含乳化剂的谷胱甘肽脂质体,为皮肤提供额外的保护。
- 谷胱甘肽在化妆品配方中用于调节皮脂分泌,改善头皮和皮肤状况,减少头发的油腻感。
- 谷胱甘肽结合微针技术,用于皮肤美白和减少皱纹,微针贴剂通过改善皮肤对活性成分的吸收,提高了化妆品在皮肤美白和抗皱方面的应用效果。
- 谷胱甘肽作为局部皮肤美白剂,针对身体特定部位,能够改善皮肤弹性,减少皱纹。
- 谷胱甘肽在美白肌肤的化妆品中发挥着重要作用,被视为治疗色素性皮肤疾病的潜在有效成分,为美容行业带来了新的治疗方向。
医药行业应用
- 谷胱甘肽在改善慢性脂肪肝病患者的肝功能检测中显示出积极作用,特别是当以高剂量(每日1800毫克,静脉注射)给药时,效果尤为显著。
- 在化疗过程中,谷胱甘肽在烷基化剂的排毒中扮演着关键角色,其在细胞内的调节水平直接影响药物的细胞毒性。
- 谷胱甘肽能够破坏生物膜,从而增强抗生素对细菌病原体的疗效,同时促进人体成纤维细胞的生长,抑制细菌粘附。
- 谷胱甘肽通过形成硫醚或参与氧化反应,在抗肿瘤干预中发挥作用,同时影响化疗药物的排毒、修复和细胞吸收过程。
- 在药物中添加谷胱甘肽可以有效预防顺铂引起的肾毒性,为化疗患者提供了一种保护肾脏的策略。
药物递质应用
- 谷胱甘肽纳米凝胶技术在癌症治疗中用于药物的控制释放,其氧化还原反应的纳米颗粒能够提供多柔比星,有效抑制肿瘤细胞的生长。
- 谷胱甘肽能够触发药物递送系统中金纳米颗粒的药物释放,通过暂时控制谷胱甘肽的水平,实现对药物释放的精确控制。
- 谷胱甘肽通过纳米颗粒中的非氧化还原离子过程,触发药物的释放,为生物医学领域提供了一种新的控制药物释放的方法。
- 在制药应用中,谷胱甘肽作为一种触发剂,能够促使装有治疗分子的纳米结构有效释放药物,提高了药物递送的效率和靶向性。
参考文献
1. Dentico, P., et al. (1995). Glutathione in the treatment of chronic fatty liver diseases. Recenti Prog Med, 86(7-8), 290-293.
2. Russo A, et al. The roles of intracellular glutathione in antineoplastic chemotherapy. Int J Radiat Oncol Biol Phys. 1986 Aug;12(8):1347-54.
3. Arrick, B. A., & Nathan, C. F. (1984). Glutathione metabolism as a determinant of therapeutic efficacy: a review. Cancer Research, 44(10), 4224-4232.
4. Hong, R., et al. (2006). Glutathione-mediated delivery and release using monolayer protected nanoparticle carriers. Journal of the American Chemical Society, 128(4), 1078-1079.
5. Latorre A, et al. Glutathione-triggered drug release from nanostructures. Curr Top Med Chem. 2014;14(23):2662-71.
6. Dilokthornsakul, et al. (2019). The clinical effect of glutathione on skin color and other related skin conditions: A systematic review. Journal of Cosmetic Dermatology, 18(3), 728-737.
7. Yechan Lee, et al. (2020). Odorless Glutathione Microneedle Patches for Skin Whitening. Pharmaceutics, 12(2), 100.
8. Sitohang, I. B., & Ninditya, S. (2020). Systemic Glutathione as a Skin-Whitening Agent in Adult. Dermatol Res Pract, 2020, 8547960.
9. L'Oreal. (1976, October 5). Cosmetic compositions for treating the hair containing S-substituted derivatives of glutathione (Patent No. 3,984,569).
10. Boehringer Ingelheim Ltd. (1998). Compositions comprising glutathione liposomes. European Patent EP0834302A1.
11. Perricone N. V. Topical acyl glutathione formulations.


















