
微信扫一扫
关注公众号
氧化型辅酶II二钠(NADP-2Na);24292-60-2
¥120 - 1882
产品分类
- 酶及底物 (520)
- 免疫学 (3082)
- 标准品/对照品 (536)
- 生物制药与疫苗 (604)
- 分离纯化 (37)
- 生化试剂 (28456)
- 分子生物学 (21)
- WAKO (13398)
- Jackson ImmunoResearch (2012)
- Ludger 糖链分析 (86)
- Lumiprobe活性染料 (3)
- abcam (39035)
- Merck-Sigma (43815)
- MP Bio (10900)
- 试剂 (9600)
- 健康原料 (24)
- 新型材料 (344)
- 仪器分析 (1023)
- 合作品牌 (44374)
- Aalto
- AAT Bioquest
- AbD
- Active Motif
- Advanced Targeting Systems
- Ambion
- AnaSpec
- AssayDesign
- Avanti
- Bangs Laboratories
- BioPorto
- BioSource
- bioworld
- cayman
- Chemicon
- Clontech
- CST
- DiFco
- Epigentek
- hampton
- Himedia
- Hyclone
- ldmsapp
- Innova Biosciences
- Invent
- J.T.BAKER
- KPL
- lifespan
- MRC
- Phytotech
- Pierce
- Prozyme
- Qiagen
- R&D
- Roche
- Santa Cruz
- Vector
- Worthington
- 其他分类 (9)
服务保证
西宝风采
公司新闻
辅酶-参与酶催化反应的重要辅助因子
发布时间:2025-07-22 08:45 | 点击次数:4351
认识辅酶
辅酶(coenzyme)是一大类有机辅助因子的总称,可以将化学基团从一个酶转移到另一个酶上,是酶催化氧化还原反应、基团转移和异构反应的必须因子,它们在酶催化反应中承担传递电子、原子或基团的功能,它们与酶较为松散地结合,对于特定酶的活性发挥是必要的。
由于辅酶在酶催化反应中其化学组分发生了变化,因此可以认为辅酶是一种特殊的底物或者称为“第二底物”。这种所谓的第二底物可以被许多酶所利用。例如,目前已知有约七百种酶可以利用辅酶NADH进行催化。
辅酶的种类
常见的辅酶包括:辅酶I (NAD+)/还原型辅酶I (NADH)、硫胺素(维生素B1)、烟酰胺(NAM)、黄素腺嘌呤二核苷酸(辅酶FAD)/黄素腺嘌呤二核苷酸递氢体(FADH2)、辅酶Coenzyme A(辅酶A)等。
(1) 辅酶I (NAD+)/还原型辅酶I (NADH)
在生化诊断中,NAD-NADH和NADP-NADPH显色系统是其重要的一部分。利用NAD-NADH和NADP-NADPH在340nm吸光值的差异,是许多酶活力水平检测的常见方法。以乳酸发酵为例:

作用原理

以NAD为例,如图所示,在脱氢酶的作用下,催化脱氢传递给给β-NAD+,使之形成还原型β-NADH。NADH在340nm有特征性吸收峰,而NAD在340nm无特征性吸收峰,利用其偶联的脱氢酶(工具酶)反应,根据340nm吸光度的变化,可以测定物质的浓度或活性。同理,NADPH和NADP也是如此。
应用领域
可用于ALT、AST、CK、LDH、CK-MB、α-HBDH、Glu、UREA、NH4+、CO2等检测试剂盒的生产。
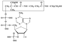
(2) 泛酸和辅酶A(CoA)
辅酶A是生物体内代谢反应中乙酰化酶的辅酶,是传递酰基,是形成代谢中间产物的重要辅酶,它的前体是维生素(B3)泛酸。是传递酰基,是形成代谢中间产物的重要辅酶。

(3) 核黄素和FAD及FMN
核黄素参与组成两种辅酶,它们是黄素单核苷酸(FMN)和黄素腺嘌呤二核苷酸(FAD),是细胞内的氧化还原系统的主要成分,在脱氢酶催化的氧化-还原反应中,起着电子和质子的传递体作用。FMN和FAD是一系列黄素连接的氧化还原酶或称为黄素蛋白类的辅酶,从它们与酶蛋白结合紧密的程度来说,也可认为是辅基。
(4)硫胺素
即维生素B1。它在生物体内的辅酶形式是硫胺素焦磷酸 (TPP),硫胺素焦磷酸过去也称为辅羧酶。它在动物糖代谢中起着重要作用,例如丙酮酸在脱羧作用时需要它。在TPP缺少的情况下,代谢中间物丙酮酸不能顺利脱羧会积聚于血液和组织中而出现神经炎症状。TPP 还是其他酶例如 -酮酸氧化酶、转酮醇酶的辅酶。TPP催化的酶反应还需要有镁离子的存在。
(5)吡哆醛及其衍生物
吡哆醛、吡哆胺和吡哆醇总称为维生素B6。维生素B6参与形成两种辅酶,即吡哆醛磷酸和吡哆胺磷酸。
需要吡哆醛磷酸或吡哆胺磷酸作为辅酶的酶在氨基酸代谢中特别重要,催化转氨、脱羧以及消旋作用等。
(6)生物素
作为一些酶的辅基而起辅因子作用。它以共价键的形式通过酰胺键和脱辅基酶蛋白的一个专一赖氨酰残基的ε- 氨基相连。ε-N-生物素酰-L-赖氨酸称为生物胞素(biocytin)。需要生物素的酶类能催化二氧化碳的参入 (羧化作用)或转移,因而生物素和二氧化碳的固定密切相关。在羧化作用时还需要腺苷三磷酸(ATP)和镁离子的存在,此外生物素在蛋白质生物合成中以及转氨基作用中也起着重要作用。
(7)叶酸
由于最早是从菠菜叶中被分离出来,故名。叶酸的辅酶形式是四氢叶酸,它作为酶促转移一碳基团(如甲酰基等)的中间载体而在嘌呤类、丝氨酸、甘氨酸和甲基基团的生物合成中起作用。此外,叶酸在核蛋白的生物合成上也是不可缺少的。
(8)维生素12
在20年代已经发现给病人吃动物的肝能治疗恶性贫血,说明肝中有一种因子对恶性贫血有效。现在维生素B12已经被分离提纯并且结构也已弄清。维生素B12的结构中有一个咕啉(corrin)环系统,并且含有钴离子及氰基(CN),故又称氰钴胺素。纯净的维生素B12溶液呈红色,这也是一般钴化合物的特征。作为辅酶时,维生素B12中的CN被5'-脱氧腺苷基团所代替,称为辅酶B12。这是一个不稳定的化合物,当有Cynide存在或暴露于光照下即转变为维生素B12。如以5'-脱氧腺苷基代替式中的黑体-CN基,就是辅酶B12的结构式。
产品列表
|
货号
|
产品名称
|
CAS
|
|
ECI0077B
|
β-烟酰胺腺嘌呤二核苷酸 (β-NAD)
|
53-84-9
|
|
ECI0070B
|
β-烟酰胺腺嘌呤二核苷酸磷酸 (β-NADP)
|
53-59-8
|
|
ECI0147A
|
β-烟酰胺腺嘌呤二核苷酸磷酸一钠盐 (β-NADP-Na)
|
1184-16-3
|
|
EYN0126A
|
β-烟酰胺腺嘌呤二核苷酸磷酸二钠盐 (β-NADP-2Na)
|
24292-60-2
|
|
ECI0078C
|
β-烟酰胺腺嘌呤二核苷酸二钠盐 (β-NADH-2Na)
|
606-68-8
|
|
EYN0147B
|
还原型烟酰胺腺嘌呤二核苷酸磷酸四钠(还原型辅酶Ⅱ四钠, β-NADPH-4Na)
|
2646-71-1
|
|
ECE0039A
|
氧化型硫代烟酰胺腺嘌呤二核苷酸(Thio-NAD+)
|
4090-29-3
|
|
EXK8661A
|
辅酶A三锂盐(CoA Trilithium Salt)
|
18439-24-2
|
|
ECE0092C
|
辅酶A游离酸(Coenzyme A, Free Acid)
|
85-61-0
|
|
ECE1236A
|
还原型硫代烟酰胺腺嘌呤二核苷酸(Thio-NADH)
|
/
|


















