
微信扫一扫
关注公众号
产品分类
- 酶及底物 (524)
- 免疫学 (2688)
- 标准品/对照品 (131)
- 生物制药与疫苗 (384)
- 分离纯化 (37)
- 生化试剂 (28758)
- 分子生物学 (21)
- WAKO (13617)
- Jackson ImmunoResearch (2012)
- Ludger 糖链分析 (87)
- Lumiprobe活性染料 (3)
- abcam (39111)
- Merck-Sigma (44529)
- MP Bio (11015)
- 试剂 (9728)
- 健康原料 (24)
- 新型材料 (345)
- 仪器分析 (1025)
- 合作品牌 (45348)
- Aalto
- AAT Bioquest
- AbD
- Acros
- Active Motif
- Advanced Targeting Systems
- Ambion
- AnaSpec
- AssayDesign
- Avanti
- Bangs Laboratories
- BioPorto
- BioSource
- bioworld
- cayman
- Chemicon
- Clontech
- CST
- DiFco
- Epigentek
- hampton
- Himedia
- Hyclone
- ldmsapp
- Innova Biosciences
- Invent
- J.T.BAKER
- KALEN
- KPL
- lifespan
- MRC
- Phytotech
- Pierce
- Prozyme
- Qiagen
- R&D
- Roche
- Santa Cruz
- Serotec
- Vector
- Worthington
- 其他分类 (5)
服务保证
西宝风采
公司新闻
如何选择酰胺化试剂
发布时间:2023-09-13 09:17 | 点击次数:3987
酸胺缩合反应是常用、温和的制备酰胺键的方法,过程中需要酰胺化试剂来活化羧酸。这类反应也广泛地被应用于酯键、大环内酰胺和内酯的构建。
随着多肽相关应用领域的快速发展和工业制备规模的增加,高效酰胺化试剂用于多肽缩合也成为多肽开发过程中的研究重点。目前多肽合成主要采用活化的羧基来连接肽进行反应。多肽缩合反应的选择在多肽合成中极为重要,正确选择缩合剂可达到实验事半功倍的效果。西宝生物可提供多肽缩合剂,咨询热线:400-021-8158。
肽合成示意
1. 一般反应机理:
![]() |
2. 商业化应用较为广的多肽缩合试剂分为:
① 碳二亚胺型缩合剂法
碳二亚胺(-N=C=N-)型缩合剂中以DCC, DIC, EDC, BDDC应用广泛, 价格相较便宜,适用于多肽的大规模制备。树脂固载的EDC(P-EDC) 将缩合剂固载在高聚物上使反应的后处理更为简单。
*DCC进行反应,由于反应中生成的DCU,在DMF中溶解度很小,产生白色沉淀,故一般不用在固相合成中,但其价格便宜,在液相合成中,可以通过过滤除去,应用仍然相当广泛。DCC-HOBt复合缩合剂为目前应用较多的缩合。
* EDC.HCl是水溶解性的,在多肽与蛋白的连接中使用比较多,效果也很好。一般不单独使用,在活化过程中添加HOBt,HOAt等试剂,控制其副反应。一般需要和酸先活化 1 小时,再将胺加入反应会好一点。有时酸的位阻较大或者连有吸电子基团反应或停留在活性酯时候,2-3eqDIEA,加催化量的DMAP,以CH2Cl2为溶剂也可用 DMF。
目前在药物化学中用的较多的是EDCI。
目前在药物化学中用的较多的是EDCI。
② 鎓盐类的缩合剂法
鎓盐类的缩合剂活性较高,常用的脲鎓盐如 HATU(缩合效果较好,但价格较贵),HBTU,和鏻鎓盐如 PyBOP(活性高,一般在其他方法不反应的条件下考虑),BOP。
·脲鎓盐
反应速度快、产物外消旋小、收率高等优点, HOBt和HOAt为基础的缩合剂能有效促进空间位阻酰胺键的形成。市场中成熟应用的有TBTU、HATU、PyCIU、TFFH、BTFFH、CIP和CTDP等。
常见的脲鎓盐试剂
·磷鎓盐
可促进有空间位阻的多肽酰胺键的形成,普遍用于含N-甲基氨基酸或C ,C -二烷基化氨基酸的多肽和生物活性肽的合成。
常见的磷鎓盐试剂
HOBt-based Phosphonium Salt Mediated Coupling
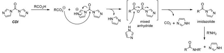
③ CDI活性酯缩合剂法
CDI被用作甲酰基转移试剂和羧酸的活化,缩合分步进行的,首先CDI与羧酸反应得到高活性的酰基咪唑,然后胺极易与活性酯反应得到相应的酰化产物,用量一定要严格控制在当量为1(过量 CDI 和胺反应产生脲的副产物)。
CDI缩合过程
3 碱的选取(制造游离酸的环境):
·TEA和 DIEA是酸胺缩合常用的碱,对于手性反应来说,TEA根据文献报道可能会造成消旋,DIEA造成消旋可能性要低很多。
·对于苯酉分类的酸胺缩合,用无机碱(如K2CO3)则可避免酯的生成。
4 多肽缩合反应一般经验原则:
·优先依次选用TBTU和HOBT, EDCI,反应效果不理想可以再试HATU,PyBOP(PyAOP),PyBroP。
·若以上缩合剂均无法得到需要的结果,可用CDI来试验。让酸溶解在CH2Cl2里,分批加入CDI,点板反应完毕后,转移到滴液漏斗中,滴加到胺的CH2Cl2溶液里,一般效果会很好,操作也很简单。
·若上面都不行,可把酸做成酰氯,在三乙月安的条件下和胺反应生成酰胺。
·最后会考虑羧酸盐,用羧酸盐与胺做缩合反应。
*部分文章内容和图片来自网络,如需修改,请及时联系。*
Seebio提供商业化的酸胺缩合试剂,产品规格和需求请联系400-021-8158。
|
Seebio Code
|
产品名称
|
CAS
|
特点
|
产品归类
|
|
AAU16001A
|
N,N'-二环己基碳二亚胺(DCC)
|
538-75-0
|
第一代碳二亚胺型缩合剂
|
碳二亚胺型
|
|
AAU16002A
|
N,N'-二异丙基碳二亚胺(DIC)
|
693-13-0
|
DCC加强版
|
|
|
AAU16005A
|
3,4-二氢-3-羟基-4-OXO-1,2,3-苯并三嗪(HOOBt)
|
28230-32-2
|
强效减少消旋
|
|
|
AAU16006A
|
6-氯-1-羟基苯并三氮唑(Cl-HOBt)
|
26198-19-6
|
|
|
|
AAU16007A
|
N-羟基-7-氮杂-苯并三氮唑(HOAt)
|
39968-33-7
|
适合大空间位阻多肽合成
|
|
|
AAU16008A
|
N-羟基丁二酰亚胺(HOSu)
|
6066-82-6
|
|
|
|
AAU16009A
|
卡特缩合剂(BOP)
|
56602-33-6
|
产率高
|
|
|
AAU16010A
|
1H-苯并三唑-1-基氧三吡口各烷基六氟磷酉夋盐(PyBOP)
|
128625-52-5
|
副产物毒性低
|
|
|
AAU16011A
|
六氟磷酉夋(7-氮杂-苯并三唑-1-氧基)三吡口各烷磷(PyAOP)
|
156311-83-0
|
适用于有空间位阻合成
|
磷正离子型
|
|
AAU16012A
|
三吡口各烷基溴化鏻六氟磷酉夋盐(PyBrOP)
|
132705-51-2
|
高生物活性
|
|
|
AAU16013A
|
2-(1H-苯并三偶氮L-1-基)-1,1,3,3-四甲基脲四氟硼酉夋酯(TBTU)
|
125700-67-6
|
HOBt加强版,缩合效率提高
|
|
|
AAU16014A
|
O-(7-氮杂-苯并三唑-1-基)-N,N,N′,N′-四甲基脲六氟磷酉夋酯(HATU)
|
148893-10-1
|
将酸,碱以及HATU 加到溶剂中,搅拌均匀,再将胺加入,避免副产物;减少消旋
|
|
|
AAU16015A
|
2-(7-氮杂-苯并三氮唑)-N,N,N',N'-四甲基脲四氟硼酉夋盐(TATU)
|
873798-09-5
|
高产率
|
脲正离子型
|
|
AAU16016A
|
6-氯-苯并三氮唑-1,1,3,3-四甲基脲四氟硼酉夋酯(TCTU)
|
330641-16-2
|
高产率
|
|
|
AAU16017A
|
苯并三氮唑-N,N,N',N'-四甲基脲六氟磷酉夋盐(HBTU)
|
94790-37-1
|
缩合效率提升
|
|
|
AAU16018A
|
6-氯-苯并三氮唑-1,1,3,3-四甲基脲六氟磷酉夋酯(HCTU)
|
330645-87-9
|
高产率
|
|
|
AAU16019A
|
N,N,N',N'-四甲基-O-(3,4-二氢-4-氧代-1,2,3-苯并三嗪-3-基)脲鎓四氟硼酉夋盐(TDBTU)
|
125700-69-8
|
应用广泛
|
|
|
AAU16020A
|
四甲基-氟代脲六氟磷酉夋酯(TFFH)
|
164298-23-1
|
高产率
|
|
|
AAU16021A
|
2-琥珀酰亚胺基-1,1,3,3-四甲基脲四氟硼酉夋酯(TSTU)
|
105832-38-0
|
应用广泛
|
|
|
AAU16022A
|
N,N'-羰基二咪唑(CDI)
|
530-62-1
|
活性酯缩合剂
|
|
|
AAU16023A
|
双(2-氧代-3-恶唑烷基)次磷酉先氯(BOP-Cl)
|
68641-49-6
|
适合有空间位阻合成
|
|
|
AAU16024A
|
叠氮磷酉夋二苯酯(DPPA)
|
26386-88-9
|
|
其他常用品
|
|
AAU16025A
|
4-二甲氨基吡啶(DMAP)
|
1122-58-3
|
|
|
|
AAU16026A
|
4,5-二氰基咪唑(EEDQ)
|
1122-28-7
|
|
|
|
AAU16027A
|
2-乙氧基-1-乙氧碳酰基-1,2-二氢喹口林
|
16357-59-8
|
经典缩合剂
|
Seebio其他常用酰胺化试剂,其他规格需求请联系400-021-8158。
|
Seebio Code
|
产品名称
|
CAS
|
Purity
|
Package
|
|
AAU16028A
|
2,4,6-三异丙基-苯石黄酰氯(TPSCL)
|
6553-96-4
|
99%
|
5g; 25g; 100g
|
|
AAU16029A
|
对硝基三氟乙酉夋苯酯(TFAONP)
|
658-78-6
|
99%
|
5g; 25g; 100g
|
|
AAU16030A
|
1,8-二氮杂双环[5.4.0]十一碳-7-烯(DBU)
|
6674-22-2
|
99%
|
5g; 25g; 100g
|
|
AAU16031A
|
N,N-二异丙基乙月安(DIEA)
|
7087--68-5
|
99%
|
5g; 25g; 100g
|
|
AAU16032A
|
4-氯甲酰基苯甲酉夋甲酯(MMT-CL)
|
7377-26-6
|
99%
|
5g; 25g; 100g
|
|
AAU16033A
|
N,N'-二琥珀酰亚胺基碳酸酯 (DSC)
|
74124-79-1
|
99%
|
5g; 25g; 100g
|
|
AAU16034A
|
1-(均三甲-苯基-2-砜基)-3-硝基-1,2,4-三唑(MSNT)
|
74257-00-4
|
99%
|
5g; 25g; 100g
|
|
AAU16035A
|
五氟-苯酉分(PFP-OH)
|
771-61-9
|
99%
|
5g; 25g; 100g
|
|
AAU16036A
|
1-对甲-苯石黄酸-3-硝基-1,2,4-三唑(TSNT)
|
77451-51-5
|
99%
|
5g; 25g; 100g
|
|
AAU16037A
|
1,1'-羰基二吡口各烷(CDP)
|
81759-25-3
|
99%
|
5g; 25g; 100g
|
|
AAU16038A
|
1-(4-甲基-苯石黄酰基)-1,2,4-三唑 (MPST)
|
13578-51-3
|
99%
|
5g; 25g; 100g
|
|
AAU16039A
|
氯代-二哌啶基脲六氟磷酉夋酯(PipClU)
|
161308-40-3
|
99%
|
5g; 25g; 100g
|
|
AAU16040A
|
苯并三唑-1-甲脒对甲-苯磺酸盐(BCAT)
|
163853-10-9
|
99%
|
5g; 25g; 100g
|
|
AAU16041A
|
O-(3,4-二氢-4-氧-1,2,3-苯并三氮唑-3-基)-N,N,N',N'-四甲基脲六氟磷酉夋酯(HDBTU )
|
164861-52-3
|
99%
|
5g; 25g; 100g
|
|
AAU16042A
|
N,N,N',N'-四甲基-S-(1-氧代-2-吡啶基)硫月尿六氟磷酉夋盐(HOTT)
|
212333-72-7
|
99%
|
5g; 25g; 100g
|
|
AAU16043A
|
1,1,3,3-四甲基-2-(2-氧代吡啶-1(2H)-基)异脲鎓六氟磷酉夋盐(HPTU)
|
364047-51-8
|
99%
|
5g; 25g; 100g
|
|
AAU16044A
|
1,2-二氢-2-异丁氧基喹口林-1-甲酉夋异丁酯(IIDQ)
|
38428-14-7
|
99%
|
5g; 25g; 100g
|
|
AAU16045A
|
1-三甲基-苯石黄酰基-1,2,4-三唑 (MTST)
|
54230-59-0
|
99%
|
5g; 25g; 100g
|
|
AAU16046A
|
三异丙基石圭烷(TIPS)
|
6485-79-6
|
99%
|
5g; 25g; 100g
|
|
AAU16047A
|
9-芴基甲基五氟-苯基碳酸酯(Fmoc-OPFP)
|
88744-04-1
|
99%
|
5g; 25g; 100g
|
|
AAU16048A
|
1-羟基-1H-1,2,3-三唑-4-羧酸乙酯(HOCT)
|
137156-41-3
|
99%
|
5g; 25g; 100g
|
|
AAU16049A
|
(苯并三氮唑-1-基氧基)二哌啶碳六氟磷酉夋盐(HBPipU)
|
190849-64-0
|
99%
|
5g; 25g; 100g
|
|
AAU16050A
|
2-(1-氧化吡啶-2-基)-1,1,3,3-四甲基异硫月尿四氟硼酉夋盐(TOTT)
|
255825-38-8
|
99%
|
5g; 25g; 100g
|
|
AAU16051A
|
O-琥珀酰亚胺-1,3-二甲基丙烯脲六氟磷酉夋酯(HPD-Osu)
|
443305-33-7
|
99%
|
5g; 25g; 100g
|
|
AAU16052A
|
间三甲基-苯石黄酰咪唑
|
50257-39-1
|
99%
|
5g; 25g; 100g
|
|
AAU16053A
|
N,N,N',N'-四甲基氯甲脒六氟磷酉夋盐(TCFH)
|
94790-35-9/207915-99-9
|
99%
|
5g; 25g; 100g
|
|
AAU16054A
|
正丁基磷酉夋酐(50%乙酸乙酯溶液)
|
163755-62-2
|
99%
|
5g; 25g; 100g
|
|
AAU16055A
|
1-(3-二甲基氨丙基)-3-乙基碳二亚胺甲碘盐
|
22572-40-3
|
99%
|
5g; 25g; 100g
|
|
AAU16056A
|
O-琥珀酰基-1,3-二甲基丙基脲四氟硼酉夋酯(TPD-Osu)
|
443305-34-8
|
99%
|
5g; 25g; 100g
|
|
AAU16057A
|
S-(1-氧代-2-吡啶)巯基-1,3-二甲基丙基脲六氟磷酉夋盐(HPTDP)
|
366821-62-7
|
99%
|
5g; 25g; 100g
|
|
AAU16058A
|
1-对石肖基苯磺酸基-1,2,4-三唑 (NBST)
|
57777-84-1
|
99%
|
5g; 25g; 100g
|



















