
微信扫一扫
关注公众号
人脂蛋白相关磷脂酶A2(Lp-PLA2)蛋白
询价
产品分类
- 酶及底物 (520)
- 免疫学 (3087)
- 标准品/对照品 (536)
- 生物制药与疫苗 (604)
- 分离纯化 (37)
- 生化试剂 (28748)
- 分子生物学 (21)
- WAKO (13608)
- Jackson ImmunoResearch (2012)
- Ludger 糖链分析 (87)
- Lumiprobe活性染料 (3)
- abcam (39100)
- Merck-Sigma (44401)
- MP Bio (11006)
- 试剂 (9706)
- 健康原料 (24)
- 新型材料 (345)
- 仪器分析 (1025)
- 合作品牌 (44464)
- Aalto
- AAT Bioquest
- AbD
- Active Motif
- Advanced Targeting Systems
- Ambion
- AnaSpec
- AssayDesign
- Avanti
- Bangs Laboratories
- BioPorto
- BioSource
- bioworld
- cayman
- Chemicon
- Clontech
- CST
- DiFco
- Epigentek
- hampton
- Himedia
- Hyclone
- ldmsapp
- Innova Biosciences
- Invent
- J.T.BAKER
- KPL
- lifespan
- MRC
- Phytotech
- Pierce
- Prozyme
- Qiagen
- R&D
- Roche
- Santa Cruz
- Vector
- Worthington
- 其他分类 (9)
服务保证
西宝风采
公司新闻
脂蛋白相关磷脂酶A2(Lp-PLA2)检测原理及相关原料
发布时间:2023-08-22 09:09 | 点击次数:1343
项目背景
脂蛋白相关磷脂酶A2,英文缩写Lp-PLA2,又称血小板活化因子乙酰水解酶,是由441个氨基酸组成,分子量为45kDa。直接参与导致动脉粥样硬化的血管炎症反应,更是一种新型的、针对血管内皮炎症反应的独立标志物。
西宝生物提供脂蛋白相关磷脂酶A2各种检测方法的原料,如速率法中Lp-PLA2底物(1-肉豆蔻酰基-2-(4-石肖基苯基琥珀酰基)-sn-甘油-3-磷酸胆碱, 14:0 NPS PC)、免疫法中Lp-PLA2抗原抗体等,详情咨询400-021-8158
脂蛋白相关磷脂酶A2(Lp-PLA2)测定方法
可通过测定血清(浆)Lp-PLA2质量及活性两种方式反映Lp-PLA2水平,主要包括通过各种免疫学方法,如:酶联免疫、化学发光、免疫层析、免疫荧光、胶乳增强等检测酶的质量,及通过速率法检测酶的活性。
¤ 速率法(水解底物法)
样本中的LP-PLA2水解底物1-肉豆蔻酰基-2-(4-石肖基苯基琥珀酰基)-sn-甘油-3-磷酸胆碱的Sn-2位置,生成一种有颜色的产物4-对石肖基苯酉分,该产物在405 nm处有吸收峰,根据其吸光度的变化速率计算Lp-PLA2的活性。
¤ 双抗体夹心法(以化学发光为例)
方法将磁微粒和辣根过氧化物酶(HRP)分别标记能识别Lp-PLA2抗原的2株单克隆抗体,当试剂与抗原混合后,包被有抗Lp-PLA2抗体的磁珠和HRP酶标记的抗Lp-PLA2抗体抓捕相应抗原形成双抗体夹心复合物,经过孵育,洗涤等过程后在激发液(鲁米诺-H2O2系统)的作用下发光,该相对发光强度(RLU)与样本中的Lp-PLA2浓度呈正相关关系.
¤ 免疫增强比浊法
样本中的LP-PLA2与试剂中鼠抗人LP-PLA2单克隆抗体的致敏乳胶颗粒发生抗原抗体反应,在促聚剂聚乙二醇作用下产生凝集以使浊度上升,在546nm波长检测反应液吸光度的变化,其变化程度与样本中的LP-PLA2含量成正比。
脂蛋白相关磷脂酶A2(Lp-PLA2)关键原料
¤ 速率法关键原料
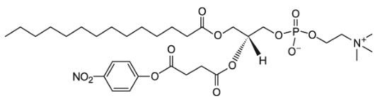
物料编码:AZE0142B
中文名称:1-肉豆蔻酰基-2-(4-石肖基苯基琥珀酰基)-sn-甘油-3-磷酸胆碱
英文名称:1-myristoyl-2-(4-nitrophenylsuccinyl)-sn-glycero-3-phosphocholine
CAS#:273931-53-6
分子式:C32H53N2O12P
分子量:688.74
中文名称:1-肉豆蔻酰基-2-(4-石肖基苯基琥珀酰基)-sn-甘油-3-磷酸胆碱
英文名称:1-myristoyl-2-(4-nitrophenylsuccinyl)-sn-glycero-3-phosphocholine
CAS#:273931-53-6
分子式:C32H53N2O12P
分子量:688.74
¤ 免疫法关键原料
|
货号
|
品名
|
配对信息
|
推荐平台
|
| EKY0100A | Lp-PLA2蛋白 | ELISA、LETIA | |
| EKY0085I | 鼠抗人Lp-PLA2单克隆抗体 | LETIA | |
| EKY0085H | 鼠抗人Lp-PLA2单克隆抗体 | 捕获 | CLIA |
| EKY0085F | 鼠抗人Lp-PLA2单克隆抗体 | 标记 | |
| EKY0085F | 鼠抗人Lp-PLA2单克隆抗体 | 捕获 | LFIA |
| EKY0085N | 鼠抗人Lp-PLA2单克隆抗体 | 标记 |
更多反应体系中的缓冲液、表面活性剂及阻断剂等,请联系西宝生物400-021-8158。


















