
微信扫一扫
关注公众号
产品分类
- 酶及底物 (524)
- 免疫学 (2699)
- 标准品/对照品 (131)
- 生物制药与疫苗 (384)
- 分离纯化 (37)
- 生化试剂 (28758)
- 分子生物学 (21)
- WAKO (13617)
- Jackson ImmunoResearch (2012)
- Ludger 糖链分析 (87)
- Lumiprobe活性染料 (3)
- abcam (39111)
- Merck-Sigma (44529)
- MP Bio (11015)
- 试剂 (9728)
- 健康原料 (24)
- 新型材料 (345)
- 仪器分析 (1025)
- 合作品牌 (45348)
- Aalto
- AAT Bioquest
- AbD
- Acros
- Active Motif
- Advanced Targeting Systems
- Ambion
- AnaSpec
- AssayDesign
- Avanti
- Bangs Laboratories
- BioPorto
- BioSource
- bioworld
- cayman
- Chemicon
- Clontech
- CST
- DiFco
- Epigentek
- hampton
- Himedia
- Hyclone
- ldmsapp
- Innova Biosciences
- Invent
- J.T.BAKER
- KALEN
- KPL
- lifespan
- MRC
- Phytotech
- Pierce
- Prozyme
- Qiagen
- R&D
- Roche
- Santa Cruz
- Serotec
- Vector
- Worthington
- 其他分类 (5)
服务保证
西宝风采
公司新闻
修饰性PEG在重组蛋白药物中的应用
发布时间:2023-08-10 13:55 | 点击次数:825
Seebio 提供从磷脂PEGs到荧光PEGs的多种选择,种类齐全,产品线丰富。同时具备重组蛋白药物中间体合同外包开发和生产(CRO & CDMO)能力。
重组蛋白是应用重组DNA或重组RNA的技术从而获得连接有可以翻译成目的蛋白基因片段的重组载体。它是生物药物中的核心产品,安全性显著高于小分子药物。虽生产条件苛刻,服用程序复杂,价格昂贵,但对某些疾病具有不可替代的治疗作用,因而具有较高的批准率。同时,重组蛋白药物的临床试验期要短于小分子药物,专利保护相对延长,给了制药公司更长的盈利时间。这些特点成为重组蛋白药物研发的重要动力。
重组蛋白药物生产流程[1]
利用化学修饰及基因工程技术等对重组蛋白药物进行改造或修饰,解决药物在血液中半衰期短、给药途径单一、免疫原性和毒副反应等问题,进而增强药物活性、提高药效是重组蛋白药物研究的重点之一。长效蛋白质生物制剂技术也是国际上许多大公司抢占的核心技术
聚乙二醇(PEGs)由于低免疫原性,良好的水溶性及生物相容性,是生物医学中使用最多的聚合物,其“隐身”效应是生物材料的“金标准”。PEGs对蛋白药物修饰途径主要有氨基修饰(包括N端氨基的酰化修饰、赖氨酸侧链氨基的酰化修饰、N端氨基的烷基化修饰)、羧基修饰、巯基修饰等。目前,PEG修饰蛋白质类药物的研究主要集中于腺苷脱氨酶、天冬酰胺酶、干扰素、粒细胞集落刺激因子、白细胞介素等。
CAS# N/A
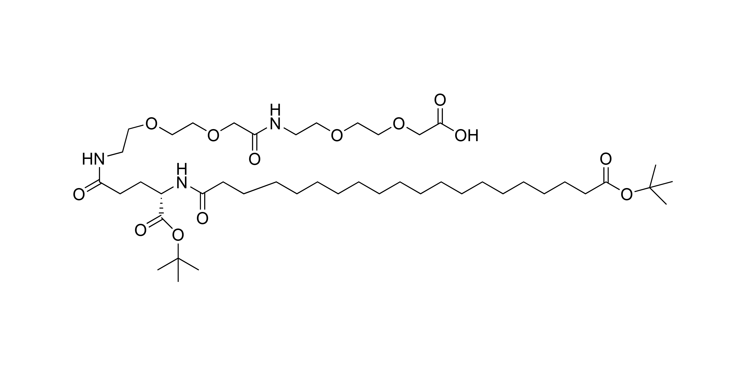
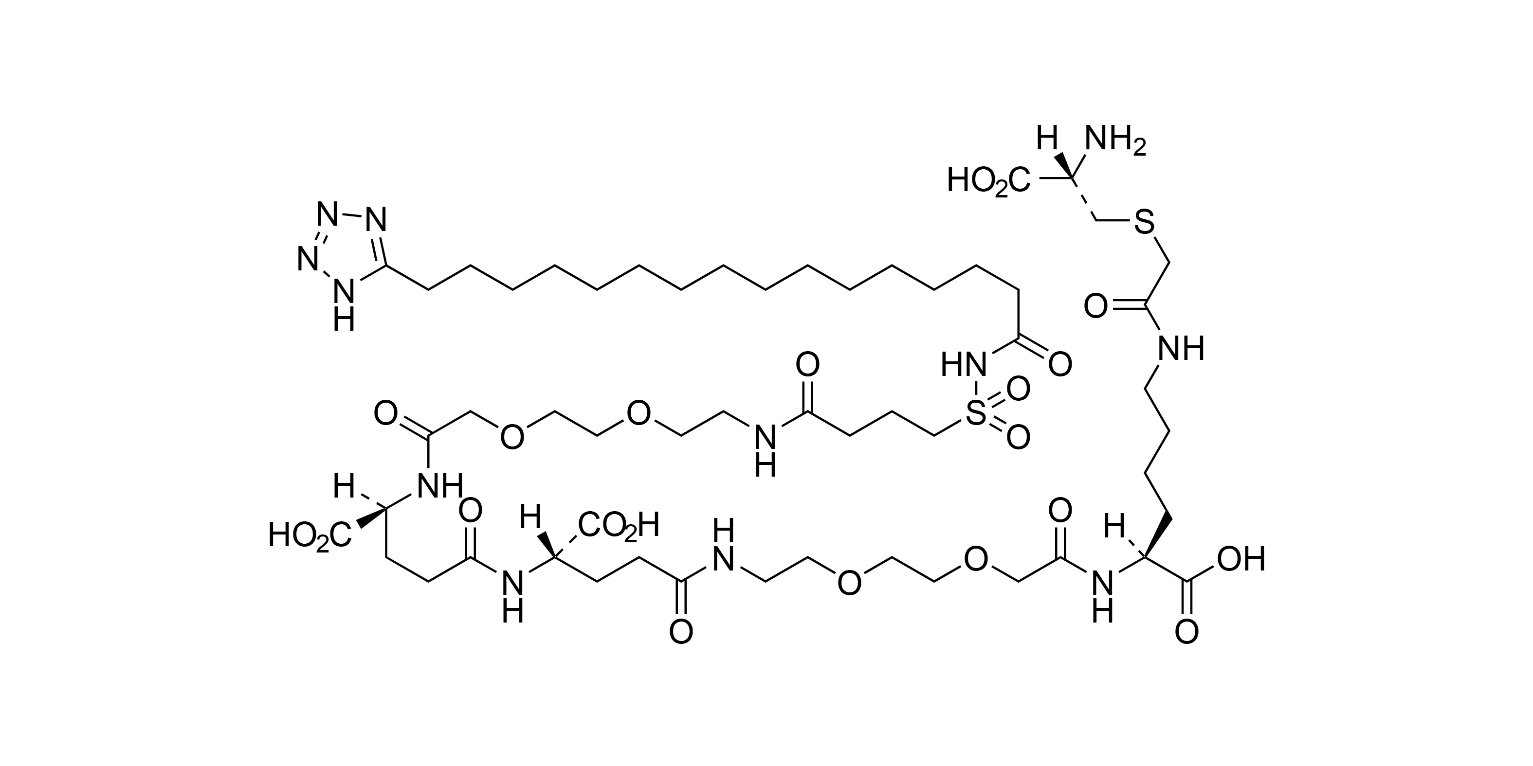
TZ-Ste-SO2-nBu-AEEA-Glu(OH)- Glu(OH)-AEEA-Lys(OH)-C (诺和长效生长激素侧链) |
CAS# 1188328-37-1
OtBu-Ara-Glu(AEEA-AEEA-OH)-OtBu (礼来GIP/GLP-1双重激动剂、诺和超级胰岛素) |
CAS# N/A
HO-Ste-CYH-Glu(OH)-Glu(OH)-AEEEEA-Mal (仅供科研用) |
|
经PEG共价修饰后,蛋白质药物的半衰期得到延长、免疫原性降低,同时最大限度地保留其生物活性,提高了药效:
分子半径增大,肾清除速率下降。
PEG在蛋白表面起到了屏蔽和位阻效应,酶解速率降低,稳定性提高,半衰期延长。
屏蔽和位阻效应还可以掩盖蛋白质表面的抗原位点,降低了蛋白质的免疫原性。
增加了药物在体液中的溶解性。
与药物的化学键在体内随时间水解,缓慢释放药物[2]。
各类PEG化蛋白质[3]
目前重组蛋白药物研发性巨头公司(Amgen、Biogen IDEC、Johnson & Johnson、Eli Lily、Novo Nordisk、Roche)几乎全部来自欧美[4],占全球市场约80%的比例。而所有欧美公司的销售额占全球生物技术公司销售额高达97%。1990年, FDA批准了PEG化蛋白质药物,治疗重度免疫缺陷综合征的Adagen (PEG-ADA)以来,许多药物也得到陆续通过审批。
PEGs-modified protein approved FDA. Site-specific PEGylated proteins given in bold [3]
FDA批准的PEG修饰蛋白药物
【参考文献】
1.Y. Wei, Z.W. Zhang, et al. Chin j Biotech, 2018, 34(3): 360-368
2.K.J. Dozier, D.M. Distefano Int. J. Mol. Sci. 2015, 16(10), 25831-25864(扉页图片)
3.F.M. Veronese, G. Pasut. Drug Discov.Today, 2005, 10(21): 1451–1458
4.W.X. Wu, Y. Zhang, et al. Lett Biotechnol, 2006, 17(6): 929–934.
2.K.J. Dozier, D.M. Distefano Int. J. Mol. Sci. 2015, 16(10), 25831-25864(扉页图片)
3.F.M. Veronese, G. Pasut. Drug Discov.Today, 2005, 10(21): 1451–1458
4.W.X. Wu, Y. Zhang, et al. Lett Biotechnol, 2006, 17(6): 929–934.
Seebio 修饰性PEG产品现货表
Seebio供应G-Kg级别蛋白药物中间体
| 蛋白药物中间体 | Seebio Code | CAS No. | Name | Packsize |
| 生长激素侧链 | AAU0178A | N/A | TZ-Ste-SO2-nBu-AEEA-Glu(OH)-Glu(OH)-AEEA-Lys(OH)-C | 1g, 5g; 1kg |
| AAU0179A | N/A | HO-Ste-CYH-Glu(OH)-Glu(OH)-AEEEEA-Mal | 1g, 5g; 1kg | |
| Tirzepatide侧链 | AAU0180A | 1188328-37-1 | OtBu-Ara-Glu(AEEA-AEEA-OH)-OtBu | 1g, 5g; 1kg |
| 索马鲁肽侧链 | AAU0181A | 1169630-40-3 | (S)-22-(羧基) -1-((2,5-二氧代环戊基)氧基) -1,10,19,24-四氧代-3,6,12,15-四氧杂-9,18,23-氮杂四十一烷-41-酸 | 1g, 5g; 1kg |
| AAU0182A | 1118767-16-0 | tBuO-Ste-Glu(AEEA-AEEA-OH)-OtBu | 1g, 5g; 1kg | |
| AAU0183A | 1118767-15-9 | tBuO-Ste-Glu(AEEA-AEEA-OSu)-OtBu | 1g, 5g; 1kg | |
| AAU0184A | N/A | tBuO-Ste-Glu(AEEA-AEEA-ONa)-OtBu | 1g, 5g; 1kg | |
| AAU0185A | 4871-70-5 | 十八烷二酸 | 1g, 5g; 1kg | |
| AAU0186A | 843666-40-0 | 十八烷二酸单叔丁酯 | 1g, 5g; 1kg | |
| AAU0187A | 134978-97-5 | AEEA | 1g, 5g; 1kg | |
| AAU0188A | 1143516-05-5 | AEEA-AEEA | 1g, 5g; 1kg | |
| AAU0189A | 166108-71-0 | Fmoc-AEEA | 1g, 5g; 1kg | |
| AAU0190A | N/A | Fmoc-PEG3-乙酸 | 1g, 5g; 1kg | |
| AAU0191A | 2061897-68-3 | Boc-His(Trt)-Aib-OH | 1g, 5g; 1kg | |
| AAU0192A | N/A | Boc-His(Trt)-Aib-Glu(OtBu)-Gly-OH | 1g, 5g; 1kg | |
| AAU0193A | 1662688-20-1 | Fmoc-Lys(tBuO-Ste-Glu(AEEA-AEEA)-OtBu)-OH | 1g, 5g; 1kg | |
| AAU0194A | N/A | tBuO-Ste-Glu(AEEA-AEEA-Glu)-OtBu | 1g, 5g; 1kg | |
| 利拉鲁肽侧链 | AAU0195A | 204521-63-1 | Pal-Glu(OSu)-OtBu | 1g, 5g; 1kg |
| AAU0196A | 57078-98-5 | D-Pal-Glu(OSu)-OtBu | 1g, 5g; 1kg | |
| AAU0197A | N/A | L-HO-Pal-Lys(OSu)-OH | 1g, 5g; 1kg | |
| AAU0198A | 294855-91-7 | L-Pal-Glu(OSu)-OH | 1g, 5g; 1kg | |
| AAU0199A | N/A | L-Pal-Glu(OH)-OtBu | 1g, 5g; 1kg | |
| AAU0200A | N/A | 2L-HO-Pal-Glu(OSu)-OtBu | 1g, 5g; 1kg | |
| 德谷胰岛素侧链 | AAU0201A | N/A | L-HO-Pal-Glu(OSu)-OH | 1g, 5g; 1kg |
| AAU0202A | N/A | L-tBuO-Pal-Glu(OSu)-OtBu | 1g, 5g; 1kg | |
| AAU0203A | N/A | L-tBuO-Pal-Glu(OSu)-OH | 1g, 5g; 1kg | |
| 地特胰岛素侧链 | AAU0204A | 69888-86-4 | N-琥珀酰亚胺基豆蔻酸 | 1g, 5g; 1kg |


















