
微信扫一扫
关注公众号
产品分类
- 酶及底物 (521)
- 免疫学 (3046)
- 标准品/对照品 (131)
- 生物制药与疫苗 (384)
- 分离纯化 (37)
- 生化试剂 (28750)
- 分子生物学 (21)
- WAKO (13608)
- Jackson ImmunoResearch (2012)
- Ludger 糖链分析 (87)
- Lumiprobe活性染料 (3)
- abcam (39100)
- Merck-Sigma (44441)
- MP Bio (11006)
- 试剂 (9706)
- 健康原料 (24)
- 新型材料 (345)
- 仪器分析 (1025)
- 合作品牌 (45288)
- Aalto
- AAT Bioquest
- AbD
- Acros
- Active Motif
- Advanced Targeting Systems
- Ambion
- AnaSpec
- AssayDesign
- Avanti
- Bangs Laboratories
- BioPorto
- BioSource
- bioworld
- cayman
- Chemicon
- Clontech
- CST
- DiFco
- Epigentek
- hampton
- Himedia
- Hyclone
- ldmsapp
- Innova Biosciences
- Invent
- J.T.BAKER
- KALEN
- KPL
- lifespan
- MRC
- Phytotech
- Pierce
- Prozyme
- Qiagen
- R&D
- Roche
- Santa Cruz
- Serotec
- Vector
- Worthington
- 其他分类 (8)
服务保证
西宝风采
公司新闻
新型冠状病毒肺炎检测整体解决方案
发布时间:2022-05-19 09:08 | 点击次数:1436
新型冠状病毒肺炎(Corona Virus Disease 2019,2019-nCoV),简称“新冠肺炎”。为了快速有效地诊断新冠肺炎病毒,国家药监局陆续批准了105个检测试剂(包括核酸检测、抗原检测和抗体检测)。为进一步规范新型冠状病毒相关检测试剂的管理,国家药监局器审中心组织制定了《新型冠状病毒(2019-nCoV)核酸检测试剂注册审查指导原则》、《新型冠状病毒(2019-nCoV)抗体检测试剂注册审查指导原则》和《新型冠状病毒(2019-nCoV)抗原检测试剂注册审查指导原则》并予以发布。
西宝生物提供新冠抗原检测、核酸检测以及抗体检测的系列原料,包括PCR酶原料,抗原抗体,相关交叉反应蛋白和干扰物质,助力新冠检测试剂盒的开发和生产,详情咨询:400-021-8158。
新型冠状病毒(2019-nCoV)属于β属冠状病毒,有包膜,颗粒呈圆形或椭圆形,直径约为60~140nm。具有5个必需基因,分别针对核蛋白(N)、病毒包膜(E)、基质蛋白(M)和刺突蛋白(S)4种结构蛋白及RNA依赖性的RNA聚合酶(RdRp)。核蛋白(N)包裹RNA基因组构成核衣壳,外面围绕着病毒包膜(E),病毒包膜包埋有基质蛋白(M)和刺突蛋白(S)等蛋白。
I、新冠病毒抗原检测
新型冠状病毒抗原检测,可直接检测出人体样本中是否含有新型冠状病毒,诊断快速、准确、对设备和人员要求低。采用双抗夹心法,使用两种抗原特异性抗体去识别和结合一个靶点抗原的不同表位,则可以大大降低交叉反应的几率,从而有效提高其特异性。抗原检测的成本更低,易于生产,检测速度也非常快,适合于大范围的新冠病毒检测。
新冠抗原检测原理
新冠抗原检测采用胶体金的方法,新型冠状病毒的N蛋白可作为免疫原,在病毒感染人体后,刺激浆细胞产生特异性抗体。依据双抗夹心ELISA原理,样本滴加在样本垫上,通过液相层析依次通过结合垫,NC膜上的检测线(T线)和质控线(C线)。结合垫内含有标记的抗原特异性抗体,可以与样本中的抗原(病毒蛋白)发生结合,当液流到达检测线(T线)时,固定在这条线上的第二种抗原特异性抗体再次与抗原结合,将会呈现阳性结果。质控线(C线)包被IgY抗体,可以结合样本垫中抗体,用于判断层析过程是否顺利。
|
|
|
抗原快速检测试纸条示意图
|
抗原检测法反应原理示意图
|
新冠抗原检测产品列表
|
货号
|
产品名称
|
用途
|
项目应用
|
规格
|
|
2019-nCoV N蛋白抗体
|
包被
|
通用组合,可测血液、鼻腔、咽拭子、唾液;
可测变种阿尔法、贝塔、伽马、德尔塔毒株 |
1,10,100,500mg
|
|
|
2019-nCoV N蛋白抗体
|
标记
|
1,10,100,500mg
|
||
|
2019-nCoV N蛋白抗体
|
包被
|
通用组合,可测血液、鼻腔、咽拭子、唾液;(咽拭子灵敏度更高)
可测变种阿尔法、贝塔、伽马、德尔塔毒株 |
1,10,100,500mg
|
|
|
2019-nCoV N蛋白抗体
|
标记
|
1,10,100,500mg
|
||
|
2019-nCoV N蛋白抗体
|
标记
|
通用组合,可测血液、咽拭子、唾液;
更可测奥密克戎(Omicron)及其变种 |
1,10,100,500mg
|
|
|
2019-nCoV N蛋白抗体
|
包被
|
1,10,100,500mg
|
||
|
2019-nCoV N蛋白抗体
|
包被、标记
|
通用组合,可测血液、咽拭子、唾液;
更可测奥密克戎(Omicron)及其变种 |
1,10,100,500mg
|
|
|
2019-nCoV N蛋白抗体
|
标记
|
1,10,100,500mg
|
||
|
重组2019-nCoV N蛋白(全长)
|
Ag阳性对照
|
|
1,10,100,500mg
|
|
|
鸡IgY
|
标记
|
免疫层析独立C线系统
|
5,10,100,500mg
|
|
|
兔抗鸡IgY多克隆抗体
|
C线包被
|
5,10,100,500mg
|
||
|
DNP抗原(DNP-BSA)
|
标记
|
免疫层析独立C线系统
|
1,10,100,500mg
|
|
|
DNP鼠单克隆抗体
|
C线包被
|
1,10,100,500mg
|
||
|
KVH0054B
|
(2019-nCoV)抗原检测大板(含稀释液)
|
新冠抗原检测
|
|
1个
|
|
阻断剂HBR-H1
|
|
避免HAMA效应,排除异嗜性干扰
|
100mg,1g
|
|
|
KroVin 300M防腐剂
|
|
|
25ml,100ml,500ml,5L
|
II、新冠病毒核酸检测
病毒作为最简单的一种生物,是由核酸和蛋白质构成。新冠病毒是RNA病毒,需要先将病毒RNA逆转录为DNA,再进行PCR检测。
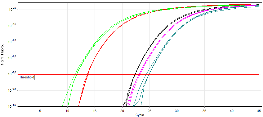
核酸检测方法主要包括PCR法、恒温扩增法、测序法、CRISPR检测法等,目前还研发出基因芯片技术。新冠核酸检测的基本原理是利用RT-qPCR(实时荧光定量PCR)的方式,是目前病毒检测方法的主流方法,也是目前我国批准上市的新冠病毒检测试剂盒采用最多的技术。
实时荧光定量PCR (Quantitative Real-time PCR)原理
RT-PCR检测技术是将RNA的反转录(RT)和cDNA的聚合酶链式扩增(PCR)相结合的技术。首先经反转录酶的作用,从RNA合成cDNA,再以cDNA为模板,在DNA聚合酶作用下扩增合成目的片段。在PCR反应体系中加入荧光基团,利用荧光信号积累实时监测整个PCR进程,最后通过标准曲线对未知模板进行定量分析的方法。
PCR反应酶原料
新型冠状病毒为RNA病毒,其遗传物质是单链正义RNA,长度约3万个碱基,属于β属冠状病毒,新型冠状病毒采用RT-PCR反应原理,主要成分包括:检测模板(DNA template)、引物(primer)、荧光探针、Taq酶、dNTP、缓冲液(buffer)等。西宝生物心系抗疫,潜心研究生产IVD企业用高品质核酸诊断原料。
|
货号
|
产品名称
|
规格
|
原料应用
|
|
SY1900
|
COVID-19-pseudovirus(2019-nCOV假病毒)
|
1ml,5×1ml
|
假病毒
|
|
SY3110
|
nCoV Multiplex One Step RT-qPCR Probe Kit
|
100T,1000T,10000T
|
一步法 RT-PCR
|
|
SY3111
|
nCov Multiplex One Step RT-qPCR Probe Kit (UDG 防污染)
|
100T,1000T
|
|
|
DAA0101D
|
Seebio® Enhan sTaq DNA聚合酶(含dNTP)
|
200U,1KU,5KU
|
聚合酶
|
|
Seebio® Reverse Transcriptase
Seebio®逆转录酶
|
2KU,10KU,4×10KU
|
逆转录酶
|
|
|
SY0703
|
Murine RNase Inhibitor (200 U/μL, Glycerol-free)(无甘油版)
|
10KU,100KU
|
RNase抑制剂
|
|
SY0603
|
Murine RNase inhibitor (40U/μl)
鼠源RNase抑制剂
|
10KU,20KU,2×50KU
|
|
|
Proteinase K
蛋白酶K
|
100g,500g,1kg
|
提取纯化
|
|
|
ACH0011D
|
盐酸胍
|
1kg
|
|
|
ACH0012E
|
异硫氰酸胍
|
1kg
|
|
|
129621
|
焦碳酸二乙脂(液体)
|
100ml
|
|
|
175583
|
十二烷基硫酸钠(SDS)
|
25kg
|
|
|
ACH0029A
|
尿素
|
500g
|
|
|
Hotstart J-Taq DNA polymerase
抗体法热启动J-Taq DNA聚合酶
|
100U,500U,5000U
|
定量检测用酶
|
|
|
SY0303
|
Uracil DNA Glycosylase (UDG), heat-labile 热敏UDG
|
100U,500U
|
防污染系统
|
|
SY0128
|
dUTP, 100mM Solution 脱氧尿苷三磷酸溶液(100 mM)
|
250μl,1ml
|
|
|
SY0125
|
dNTP Mix (25 mM each)
|
250μl,1ml
|
dNTP
|
备注:在一步法RT-PCR核心原料SY3110,SY3111的基础上,组装入2019-nCov引物和探针,SY1900假病毒作为实验阳性参照,即可组装成2019-nCoV核酸IVD检测试剂盒。我们也可以提供对接国内合成公司配套供货引物和探针。
病毒采样管原料
病毒保存液包括Hank's基础、庆大霉素、真菌抗生素、BSA (V)、冷冻保护剂、生物缓冲剂和氨基酸。
在Hank's基础之上,添加 HEPES、BSA(牛血清白蛋白第五组分)等病毒稳定成分,另一种以核酸提取裂解液为基础配制的保存液,主要成分为平衡盐类、EDTA螯合剂、胍盐(如异硫氰酸胍、盐酸胍等)、阴离子表面活性剂(如十二烷基硫酸钠)、阳离子表面活性剂(如十四烷基三甲基草酸铵)、Phenol、8-Hydroxyquinoline、二硫苏糖醇(DTT)、蛋白酶K等几种或多种组分,病毒保存液的质量,是提高PCR检测阳性率与病毒分离阳性率的关键因素,从根本上决定了病毒采样管的质量。添加常温稳定的真菌类抗生素,可解决采样后的霉菌污染问题,实现采样液的常温保存。
|
货号
|
产品名称
|
CAS号
|
|
145570
|
HEPES ≥99.0%
|
7365-45-9
|
|
102735
|
牛血清白蛋白(BSA)
|
9048-46-8
|
|
ACH0010A
|
EDTA
|
6381-92-6
|
|
ACH0011D
|
盐酸胍
|
50-01-1
|
|
ACH0012E
|
异硫氰酸胍
|
593-84-0
|
|
表面活性剂
|
||
|
175583
|
十二烷基硫酸钠(SDS)
|
151-21-3
|
|
AJA0035A
|
8-Hydroxyquinoline
|
148-24-3
|
|
134703
|
二硫代苏糖醇(DTT)
|
3483-12-3
|
|
抗生素
|
||
|
140913
|
庆大霉素(Gentamicin)(622μ/mg)USP
|
1405-41-0
|
|
106750
|
两性霉素B(Amphotericin B)
|
1397-89-3
|
|
170907
|
万古霉素盐酸盐(Vancomycin Hydrochloride)
|
1404-93-9
|
|
冷冻保护剂
|
||
|
182273
|
二水海藻糖(α,α-Trehalose dihydrate)
|
6138-23-4
|
|
Tris缓冲液
|
||
|
183995
|
Tris Base
|
77-86-1
|
|
184001
|
Tris-HCl
|
1185-53-1
|
|
甘氨酸缓冲液
|
||
|
142021
|
甘氨酸(Glycine)
|
56-40-6
|
|
Good’s缓冲液
|
||
|
157379
|
MES
|
145224-94-8
|
|
184005
|
双(2-(羟甲基)氨基-三(羟甲基)甲烷(Bis-Tris)
|
6976-37-0
|
|
157385
|
MOPSO
|
68399-77-9
|
|
111821
|
BES
|
10191-18-1
|
|
157381
|
MOPS
|
1132-61-2
|
|
184010
|
TES
|
7365-44-8
|
|
145570
|
HEPES
|
7365-45-9
|
|
145577
|
HEPPSO
|
68399-78-0
|
|
145575
|
HEPPS
|
16052-06-5
|
|
184030
|
三(羟甲基)甲基甘氨酸(Tricine)
|
5704-04-1
|
|
111830
|
N,N-二-羟乙基甘氨酸(Bicine)
|
150-25-4
|
|
184006
|
TAPS
|
29915-38-6
|
III、新冠病毒抗体检测
新型冠状病毒肺炎发病3-7天后,血清特异性抗体逐渐产生,首先出现的是免疫球蛋白IgM抗体,然后出现IgG抗体。因此,IgM抗体增高提示近期急性感染,IgG抗体增高提示既往感染。血清学检测最大的优势在于方便快捷,检测时间较短,能够有效突破现有检测技术对人员、场所的限制,缩短检测用时。
新冠抗体检测原理
新冠抗体检测采用胶体金的方法,采用胶体金免疫技术,在结合垫处喷涂胶体金标记的重组新型冠状病毒抗原和质控抗体金标记物;NC膜上包被两条检测线(G线和M线)和一条质控线(C线)。M线包被有鼠抗人IgM单抗,G线包被有鼠抗抗人IgG单抗,C线包被有质控抗体。样本加到加样孔中,该样本在层析作用下将沿检测卡向前移动,如果样本中含有新冠状病毒IgM抗体,则该抗体与胶体金标记病毒抗原结合,形成夹心复合物,将会呈现阳性结果。如果样本中含有新型冠状病毒IgG抗体,则该抗体会与胶体金标记新型冠状病毒抗原结合,形成夹心复合物,将会呈现阳性结果。该检测卡还包含一条质控线(C线),用于判断层析过程是否顺利。
新冠抗体检测产品列表
|
货号
|
产品名称
|
用途
|
项目应用
|
规格
|
|
19nSeebio-001
|
2019-nCoV RBD蛋白 ( Fc Tag)
|
标记
|
新冠抗体检测用蛋白
|
1,10,100,500mg
|
|
19nSeebio-002
|
2019-nCoV S1蛋白 (His Tag)
|
标记
|
新冠抗体检测用蛋白
|
1,10,100,500mg
|
|
19nSeebio-009
|
重组2019-nCoV N蛋白(His Tag)
|
标记
|
新冠抗体检测用蛋白
|
1,10,100,500mg
|
|
鼠抗人IgG单克隆抗体
|
包被
|
T线划膜
|
1,10,100,500mg
|
|
|
鼠抗人IgM单克隆抗体
|
包被
|
T线划膜
|
1,10,100,500mg
|
|
|
EKN0304A
|
抗红细胞(RBC)单克隆抗体
|
|
避免血液样本中的红细胞干扰
|
100mg,1g
|
|
KroVin 300M防腐剂
|
|
|
25ml,100ml,500ml,5L
|
新冠诊疗方案中提出关于新冠病毒检测对其交叉性,竞争性干扰和干扰试验的测试也同样很重要。
需验证相关病原体和多例人类基因组DNA的交叉反应,除SARS冠状病毒和MERS冠状病毒可采用假病毒外,各病原体均应采用临床样本或培养物进行验证。临床上容易与新冠病毒合并感染的病原体,在高浓度的情况下对低浓度(例如检出限浓度)新冠病毒核酸检测的影响,进行竞争性干扰研究。
交叉反应验证相关列表
|
地方性人类冠状病毒(HKU1,OC43,NL63和229E)
|
人偏肺病毒
|
百日咳杆菌
|
|
SARS冠状病毒
|
EB病毒
|
流感嗜血杆菌
|
|
MERS冠状病毒
|
麻疹病毒
|
S. aureus |
|
H1N1(新型甲型H1N1流感病毒(2009)
|
人巨细胞病毒
|
肺炎链球菌
|
|
季节性H1N1流感病毒、H3N2、H5N1、H7N9
|
轮状病毒
|
化脓性链球菌
|
|
乙型流感Yamagata、Victoria
|
诺如病毒
|
肺炎克雷伯菌
|
|
呼吸道合胞病毒A、B型
|
腮腺炎病毒
|
结核分枝杆菌
|
|
副流感病毒1、2、3型
|
水痘-带状疱疹病毒
|
烟曲霉
|
|
鼻病毒A、B、C组
|
肺炎支原体
|
白色念珠菌
|
|
腺病毒1、2、3、4、5、7、55型
|
肺炎衣原体
|
光滑念珠菌
|
|
肠道病毒A、B、C、D组
|
军团菌
|
新生隐球菌
|
|
高浓度人类基因组DNA
|
|
|
干扰试验物质列表
|
纯化粘蛋白
|
布地奈德
|
洛匹那韦
|
|
血液(人类)
|
莫米松
|
利托那韦
|
|
苯福林
|
氟替卡松
|
阿比多尔
|
|
羟甲唑啉
|
盐酸组胺
|
左氧氟沙星
|
|
氯化钠
|
α-干扰素
|
阿奇霉素
|
|
倍氯美松
|
扎那米韦
|
头孢曲松
|
|
地塞米松
|
利巴韦林
|
美罗培南
|
|
氟尼缩松
|
奥司他韦
|
妥布霉素
|
|
曲安奈德
|
帕拉米韦
|
|


















