
微信扫一扫
关注公众号
EpiQuik Total Histone H4 Acetylation Detection Fast Kit (Fluorometric) (48 assays), 总组蛋白H4乙酰化快速测定试剂盒(荧光法)(48次分析)
¥3776
产品分类
- 酶及底物 (520)
- 免疫学 (3087)
- 标准品/对照品 (536)
- 生物制药与疫苗 (604)
- 分离纯化 (37)
- 生化试剂 (28748)
- 分子生物学 (21)
- WAKO (13608)
- Jackson ImmunoResearch (2012)
- Ludger 糖链分析 (87)
- Lumiprobe活性染料 (3)
- abcam (39100)
- Merck-Sigma (44401)
- MP Bio (11006)
- 试剂 (9706)
- 健康原料 (24)
- 新型材料 (345)
- 仪器分析 (1025)
- 合作品牌 (44464)
- Aalto
- AAT Bioquest
- AbD
- Active Motif
- Advanced Targeting Systems
- Ambion
- AnaSpec
- AssayDesign
- Avanti
- Bangs Laboratories
- BioPorto
- BioSource
- bioworld
- cayman
- Chemicon
- Clontech
- CST
- DiFco
- Epigentek
- hampton
- Himedia
- Hyclone
- ldmsapp
- Innova Biosciences
- Invent
- J.T.BAKER
- KPL
- lifespan
- MRC
- Phytotech
- Pierce
- Prozyme
- Qiagen
- R&D
- Roche
- Santa Cruz
- Vector
- Worthington
- 其他分类 (9)
服务保证
西宝风采
公司新闻
我国食品行业氨基酸的测定方法简介
发布时间:2021-04-16 10:38 | 点击次数:3735
在分析化学、生物化学以及医学等领域,作为一种基础检测手段,氨基酸的测定发挥了重要的作用。氨基酸分析方法经过多年发展,进步显著并日趋完善。质谱(MS)、核磁(NMR)和液相色谱(HPLC)联用技术被应用于氨基酸的测定中,使检测结果的准确性不断提高。氨基酸分析,按照分析过程中是否进行衍生,可以分为直接分析法和衍生化间接分析法。
由于氨基酸种类丰富,结构相似,仅很小部分能产生紫外或荧光相应,为了提高分析检测灵敏度和分离选择性,让氨基酸衍生化,接上发光或发色基团,然后进行定性定量分析,该方法成为衍生化间接分析法。衍生化间接分析法按衍生时间不同分为柱前衍生法和柱后衍生法。柱后衍生化是首先将样品组分利用色谱柱分离,然后进行衍生化处理并检测的过程。衍生试剂一般为茚三酮和邻苯二甲醛。柱后衍生技术与柱前衍生技术相比,其优点是反应重复性好;缺点是限制了衍生化条件。
目前我国在食品/饲料行业领域,以下相关国家标准正在实施,其中测定游离氨基酸涉及的主要检测方法为:茚三酮柱后衍生化法和高效液相色谱法。
| GB/T 18654.11-2008 | 养殖鱼类种质检验 第 11 部分:肌肉中主要氨基酸含量的测定 |
| GB/T 18246-2000 | 饲料中氨基酸的测定 |
| GB/T 5009.124-2003 | 食品中氨基酸的测定 |
| GB/T 8314-2013 | 茶 游离氨基酸总量的测定 |
| GB/T 30987-2014 | 植物中游离氨基酸的测定 |
| GB/T 14924.10-2008 | 实验动物配合饲料 氨基酸的测定 |
| GB/T 32016-2015 | 蚕丝 氨基酸的测定 |
现以 GB/T 5009.124-2003《食品中氨基酸的测定》为例,简述使用氨基酸自动分析仪测定食物中氨基酸的方法,其原理是:食品中的蛋白质经盐酸水解成为游离氨基酸,经氨基酸分析仪的离子交换柱分离后,与茚三酮溶液产生颜色反应,再通过分光光度计比色测定氨基酸含量。

该方法适用于食品中的天冬氨酸、苏氨酸、丝氨酸、谷氨酸、脯氨酸、甘氨酸、丙氨酸、撷氨酸、蛋氨酸、异亮氨酸、亮氨酸、酪氨酸、苯丙氨酸、组氨酸、赖氨酸和精氨酸等十六种氨基酸的测定。其最低检出限为10pmol。不适用于蛋白质含量低的水果、蔬菜、饮料和淀粉类食品中氨基酸测定。
试剂
浓盐酸:优级纯。
6mol/L 盐酸:浓盐酸与水 1+1 混合。
苯.酚:须重蒸馏。
混合氨基酸标准液(0.0025mol/L) (货号:013-08391,H 型,5ml/019-08393,1ml*5A)。
缓冲液(货号:608-07461 日立氨基酸分析仪专用缓冲液套装 L-8500-PH)
♦ pH2.2 的柠檬酸钠缓冲液 (604-07463 L-8500-PH-1 1L×10):称取 19.6g 柠檬酸钠(Na3C6H507·2H2O)和 16.5ml 浓盐酸加水稀释到1000ml,用浓盐酸或500g/L的氢氧.化钠溶液调节pH至2.2
♦ pH3.3 的柠檬酸钠缓冲液 (608-07466 L-8500-PH-2 1L×10):称取 19.6g 柠檬酸钠和 12ml 浓盐酸加水稀释到 1000ml,用浓盐酸或 500g/L 的氢氧.化钠溶液调节 pH 至 3.30
♦ pH4.0 的柠檬酸钠缓冲液 (606-07462 L-8500-PH-3 1L×10):称取 19.6g 柠檬酸钠和 9ml,浓盐酸加水稀释到 1000ml,用浓盐酸或 500g/L 的氢氧.化钠溶液调节 pH 至 4.00
♦ pH3.3 的柠檬酸钠缓冲液 (602-07464 L-8500-PH-4 1L×10):称取19.6g柠檬酸钠和46.8g氯化钠(优级纯)加水稀释到1000ml,用浓盐酸或 500g/L 的氢氧.化钠溶液调节 pH 至 6.40
♦ pH3.3 的柠檬酸钠缓冲液 (608-07466 L-8500-PH-2 1L×10):称取 19.6g 柠檬酸钠和 12ml 浓盐酸加水稀释到 1000ml,用浓盐酸或 500g/L 的氢氧.化钠溶液调节 pH 至 3.30
♦ pH4.0 的柠檬酸钠缓冲液 (606-07462 L-8500-PH-3 1L×10):称取 19.6g 柠檬酸钠和 9ml,浓盐酸加水稀释到 1000ml,用浓盐酸或 500g/L 的氢氧.化钠溶液调节 pH 至 4.00
♦ pH3.3 的柠檬酸钠缓冲液 (602-07464 L-8500-PH-4 1L×10):称取19.6g柠檬酸钠和46.8g氯化钠(优级纯)加水稀释到1000ml,用浓盐酸或 500g/L 的氢氧.化钠溶液调节 pH 至 6.40
茚三酮溶液 (299-70501,日立氨基酸分析仪配套茚三酮显色液,L-8500,L-8900 均适用)
♦ pH5.2 的乙酸锂溶液:称取氢氧.化锂 (LiOH·H2O) 168g,加入冰乙酸(优级纯)279ml,加水稀释到 1000ml,用浓盐酸或 500g/L 的氢氧.化钠溶液调节 pH 至 5.2
♦ 茚三酮溶液:取 150mL 二甲基亚矾 (C2H6OS) 和乙酸锂溶液 50mL 加人 4g 水合茚三酮(C9H4O3·H2O)和 0.12g 还原茚三酮(C18H10O6·2H2O)搅拌至完全溶解。
♦ 茚三酮溶液:取 150mL 二甲基亚矾 (C2H6OS) 和乙酸锂溶液 50mL 加人 4g 水合茚三酮(C9H4O3·H2O)和 0.12g 还原茚三酮(C18H10O6·2H2O)搅拌至完全溶解。
高纯氮气:纯度 99.99%。
冷冻剂:市售食盐与冰按 1+3 混合。
仪器和设备
♦ 真空泵。
♦ 恒温干燥箱。
♦ 水解管:耐压螺盖玻璃管或硬质玻璃管,体积 20mL-30mL。用去离子水冲洗干净并烘干。
♦ 真空干燥器(温度可调节)。
♦ 氨基酸自动分析仪
♦ 恒温干燥箱。
♦ 水解管:耐压螺盖玻璃管或硬质玻璃管,体积 20mL-30mL。用去离子水冲洗干净并烘干。
♦ 真空干燥器(温度可调节)。
♦ 氨基酸自动分析仪
试样处理
试样采集后用匀浆机打成匀浆(或者将试样尽量粉碎、于低温冰箱中冷冻保存,分析用时将其解冻后使用。
分析步骤

♦ 称样
准确称取一定量均匀性好的试样如奶粉等,精确到 0.0001g ,(使试样蛋白质含量在 10mg~20mg 范围内);均匀性差的试样如鲜肉等,为减少误差可适当增大称样量,测定前再稀释。将称好的试样放于水解管中
♦ 水解
在水解管内加 6mol/L 盐酸 10ml~15ml(视试样蛋自质含量而定),含水量高的试样(如牛奶) 可加入等体积的浓盐酸,加人新蒸馏的苯.酚 3 滴-4 滴,再将水解管放人冷冻剂中,冷冻 3min~5min,再接到真空泵的抽气管上,抽真空(接近 0Pa),然后充人高纯氮气;再抽真空充氮气,重复二次后,在充氮气状态下封口或拧紧螺丝盖将已封口的水解管放在 110℃+1℃ 的恒温千燥箱内,水解 22h 后,取出冷却。

打开水解管,将水解液过滤后,用去离子水多次冲洗水解管,将水解液全部转移到 50ml 容量瓶内用去离了水定容。吸取滤液 1ml 于 5ml 容量瓶内,用真空十燥器在 40℃~50℃ 干燥,残留物用 1mL~2mL 水溶解,再干燥,反复进行两次,最后蒸干,用 1mL pH2.2 的缓冲液溶解,供仪器测定用。
♦ 测定
准确吸取 0.200mL 混合氨基酸标准,用 pH2.2 的缓冲液稀释到 5mL,此标准稀释液浓度为 5.00nmol/50μL,作为上机测定用的氨基酸标准,用氨基酸自动分析仪以外标法测定试样测定液的氨基酸含星。
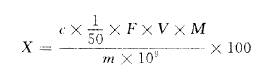
结果计算
按下式计算:

式中:
X ------------- 试样氨基酸的含量,单位为克每百克(g/100g);
c ------------- 试样测定液中氨基酸含量,单位为纳摩尔每 50 微升(nmol/50μL);
F ------------- 试样稀释倍数;
V ------------- 水解后试样定容体积,单位为毫升(mI);
M ------------ 氨基酸分子量;
m ------------ 试样质量,单位为克(g);
1/50 --------- 折算成杯毫升试样测定的氨基酸含量,单位为微摩尔每升(μmol/L);
109 ---------- 将试样含量由纳克(ng)折算成克(g)的系数。
X ------------- 试样氨基酸的含量,单位为克每百克(g/100g);
c ------------- 试样测定液中氨基酸含量,单位为纳摩尔每 50 微升(nmol/50μL);
F ------------- 试样稀释倍数;
V ------------- 水解后试样定容体积,单位为毫升(mI);
M ------------ 氨基酸分子量;
m ------------ 试样质量,单位为克(g);
1/50 --------- 折算成杯毫升试样测定的氨基酸含量,单位为微摩尔每升(μmol/L);
109 ---------- 将试样含量由纳克(ng)折算成克(g)的系数。
十六种氨基酸分子量:
天冬氨酸:133.1;苏氨酸:119.1;丝氨酸:105.1;谷氨酸:147.1;脯氨酸:115.1;甘氨酸:75.1;丙氨酸:89.1;撷氨酸:117.2;蛋氨酸:149.2;异亮氨酸:131.2;亮氨酸:131.2;酪氨酸:181.2;苯丙氨酸:165.2;组氨酸:155.2;赖氨酸:146.2;精氨酸:174.2。
天冬氨酸:133.1;苏氨酸:119.1;丝氨酸:105.1;谷氨酸:147.1;脯氨酸:115.1;甘氨酸:75.1;丙氨酸:89.1;撷氨酸:117.2;蛋氨酸:149.2;异亮氨酸:131.2;亮氨酸:131.2;酪氨酸:181.2;苯丙氨酸:165.2;组氨酸:155.2;赖氨酸:146.2;精氨酸:174.2。
计算结果表示为:
试样氨基酸含量在 1.00g/100g 以下,保留两位有效数字;
含量在 1.00g/100g 以上,保留三位数字。
试样氨基酸含量在 1.00g/100g 以下,保留两位有效数字;
含量在 1.00g/100g 以上,保留三位数字。
精密度
在重复性条件下获得的两次独立测定结果的绝对差值不得超过算术平均值的 12%。
标准图谱

| 出峰顺序 | 保留时间/min | 出峰顺序 | 保留时间/min | ||
| 1 | 天冬氨酸 | 5.55 | 9 | 蛋氨酸 | 19.63 |
| 2 | 苏氨酸 | 6.60 | 10 | 异亮氨酸 | 21.24 |
| 3 | 丝氨酸 | 7.09 | 11 | 亮氨酸 | 22.06 |
| 4 | 谷氨酸 | 8.72 | 12 | 酪氨酸 | 24.52 |
| 5 | 脯氨酸 | 9.63 | 13 | 苯丙氨酸 | 25.76 |
| 6 | 甘氨酸 | 12.24 | 14 | 组氨酸 | 30.41 |
| 7 | 丙氨酸 | 13.10 | 15 | 赖氨酸 | 32.57 |
| 8 | 缬氨酸 | 16.65 | 16 | 精氨酸 | 40.75 |
参考资料
- GB/T 5009.124-2003 食品中氨基酸的测定
http://www.doc88.com/p-31873148016.html - 日立分析仪器在食品分析中的热点应用
http://www.instrument.com.cn/webinar/Video/index?videoId=101834 - 日立(Hitachi) L-8500、L-8800、L-8900型氨基酸分析仪配套试剂
http://www.seebio.cn/Article/AminoAcidAnalysisReagent_1.html - 自行配置氨基酸分析用缓冲溶液所需的高品质专用试剂
http://www.seebio.cn/Article/HQReagents4AA_1.html


















